М
Молодежь
К
Компьютеры-и-электроника
Д
Дом-и-сад
С
Стиль-и-уход-за-собой
П
Праздники-и-традиции
Т
Транспорт
П
Путешествия
С
Семейная-жизнь
Ф
Философия-и-религия
Б
Без категории
М
Мир-работы
Х
Хобби-и-рукоделие
И
Искусство-и-развлечения
В
Взаимоотношения
З
Здоровье
К
Кулинария-и-гостеприимство
Ф
Финансы-и-бизнес
П
Питомцы-и-животные
О
Образование
О
Образование-и-коммуникации
anastya3
anastya3
29.10.2020 03:23 •  Математика

483*504 в столбик решите на листе сфоткайте и отправьте

👇
Ответ:
Lngtnk5
Lngtnk5
29.10.2020
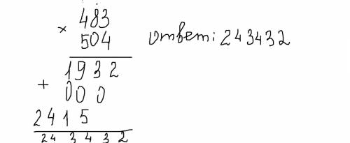
Вот, решила пример столбиком.
483*504 в столбик решите на листе сфоткайте и отправьте
4,8(17 оценок)
Ответ:
483*505=213322 но а лучше самим решать.
483*504 в столбик решите на листе сфоткайте и отправьте
4,4(79 оценок)
Открыть все ответы
Ответ:
dima1026
dima1026
29.10.2020
ответ: 4, 8, 16Обозначим данные числа x, y и z; они образуют геометрическую прогрессию. Поусловию, числа x, y +2, z образуют арифметическую прогрессию, а числа x, y +2, z +9 — сновагеометрическую. Получаем систему уравнений:
y2 = xz,
2(y + 2) = x + z
(y + 2)2 = x(z + 9).
(первое и третье уравнения — характеризация геометрической прогрессии, второе уравнение —характеризация арифметической прогрессии).
Из первого и третьего уравнений получим 4y + 4 = 9x.
Выражая z из второго уравнения иподставляя в первое, получим y2 = 2xy+4x−x2.
Остаётся решить систему этих двух уравнений относительно x и y и затем найти z

ответ:4,8,16
4,6(16 оценок)
Ответ:
pozhidaevad
pozhidaevad
29.10.2020
Для нахождения экстремума функции нескольких переменных необходимо:
1) найти частные производные
2) приравнять их к нулю и составить систему из получившихся уравнений
3) найти решение этой системы - стационарную точку или точки
4) определить характер этой точки - точка максимума, минимума или седловая точка.

1) находим частные производные
z_x'=4x+5y+1
z_y'=5x+10y-5

2) приравнять их к нулю и составить систему из получившихся уравнений
\left \{ {4x+5y+1=0} \atop {5x+10y-5=0}} \right.

3) найти решение этой системы
\left \{ {4x+5y=-1} \atop {5x+10y=5}} \right.
\left \{ {8x+10y=-2} \atop {5x+10y=5}} \right.
\left \{ {3x=-7} \atop {5x+10y=5}} \right.
\left \{ {x=- \frac{7}{3} } \atop {-5* \frac{7}{3}+10y=5}} \right.
\left \{ {x=- \frac{7}{3} } \atop {10y= \frac{50}{3} }} \right.
\left \{ {x=- \frac{7}{3} } \atop {y= \frac{5}{3} }} \right.
Стационарная точка - (-7/3,5/3)

4) определить характер этой точки - точка максимума, минимума или седловая точка.
Для определения характера стац. точки составим гессиан - матрицу частных производных второго порядка. 
Если гессиан состоит из констант, то функция имеет один глобальный экстремум.
Если главные миноры матрицы положительные, то точка является точкой минимума.
Если знаки главных миноров матрицы чередуются, начиная с минуса, то точка является точкой максимума.

z_{xx}''=4
z_{xy}''=z_{yx}''=5
z_{yy}''=10

H= \left[\begin{array}{cc}4&5\\5&10\end{array}\right]
H_1=4
H_2=4*10-5*5=40-25=15

Главные миноры гессиана строго положительные, а сам гессиан состоит из констант. Из этого можно сделать следующий вывод:

в точке (-7/3,5/3) функция имеет глобальный минимум.
4,5(37 оценок)
Это интересно:
Новые ответы от MOGZ: Математика
logo
Вход Регистрация
Что ты хочешь узнать?
Спроси Mozg
Открыть лучший ответ