
Пошаговое объяснение:
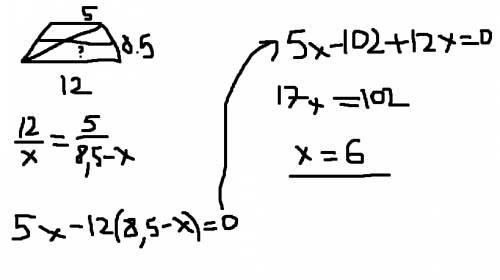
АВ - наклонная к обеим плоскостям. При этом основание перпендикуляра В1 из точки В на прямую пересечения плоскостей а и в - это проекция точки В на плоскость а. И - точно также - А1 - проекция точки А на в. Задано А1В1 = 12.
Нам задан угол АВВ1 (вот оно что!) = 30 градусов. Поэтому АА1 = АВ/2 = 12;
Треугольник АА1В1 - прямоугольный, поскольку АА1 перпендикулярно А1В1. Кроме того, оба его катета равны 12, отсюда гипотенуза АВ1 равна 12*корень(2).
Осталось рассмотреть треугольник (тоже прямоугольный) АВВ1. Именно в нём есть угол ВАВ1, который и нужно найти по условию задачи. Но в этом треугольнике катет А1В1 = 12*корень(2), а гипотенуза равна 24, то есть он тоже равнобедренный, и угол ВАВ1 = 45 градусов :
У нас в школе работает опытный физик
Физик Марья Ивановна сказала нам убрать свои рабочие места
Когда я вырасту, стану бухгалтером
Бухгалтер Алёна, вполне приятный человек
Археолог отдал в музей свои первые находки
Археолог показала нам все свои находки
У нас в классе есть мальчик забияка
Моя сестра - забияка
Водитель автобуса отвёз школьников успешно
Водитель такси хорошо к нам относилась
Балетмейстер очень хороший человек
Балетмейстер показала нам, всё что умеет
Дизайнер из Москвы уж очень талантлив
Дизайнер сделала нам красивый интерьер
В каждом классе есть недотрога
Недотрога Вика очень хорошо учится