М
Молодежь
К
Компьютеры-и-электроника
Д
Дом-и-сад
С
Стиль-и-уход-за-собой
П
Праздники-и-традиции
Т
Транспорт
П
Путешествия
С
Семейная-жизнь
Ф
Философия-и-религия
Б
Без категории
М
Мир-работы
Х
Хобби-и-рукоделие
И
Искусство-и-развлечения
В
Взаимоотношения
З
Здоровье
К
Кулинария-и-гостеприимство
Ф
Финансы-и-бизнес
П
Питомцы-и-животные
О
Образование
О
Образование-и-коммуникации
shakirovbulat9
shakirovbulat9
10.12.2021 08:16 •  Математика

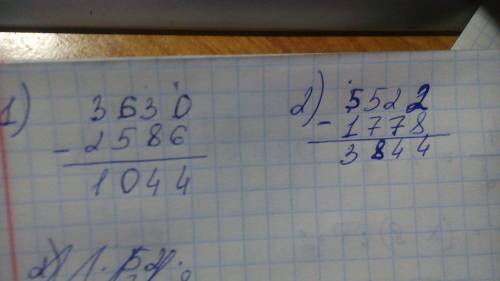
Нужно решить примеры столбиком **3*-25*6=1*44 и *52*-*7*8=3*944

👇
Ответ:
valikkk1
valikkk1
10.12.2021
Решение предоставлено на картинке
Нужно решить примеры столбиком **3*-25*6=1*44 и *52*-*7*8=3*944
4,5(9 оценок)
Открыть все ответы
Ответ:
caralina1
caralina1
10.12.2021
На 25 делятся числа вида 25t, где t целое.
Трехзначные числа, делящиеся на 25 имеют вид: 100 + 25t
Максимальное трехзначное число, делящееся на 25 - это 975.
Т. е. числа имеют вид: 100 + 25t, 0<=t<=35, а четные числа, делящиеся на 25 имеют вид: 100 + 25*2t, 0<=t<=17.
Из этих чисел на 4 делятся только числа вида: 100t, 1<=t<=9.
Пусть Т искомые числа, тогда нашему условию удовлетворяет система:
Т = 100 + 25*2t, 0<=t<=17.
Т не = 100t
Т. е. из рассматриваемых 18 чисел нам нужно исключить 9: 18 - 9 = 9.
ответ: 9 чисел: Т1 = 150, Т2 = 250, Т3 = 350, Т4 = 450, Т5 = 550, Т6 = 650, Т7 = 750, Т8 = 850, Т9 = 950.
4,7(41 оценок)
Ответ:
zhdiana0706
zhdiana0706
10.12.2021

150, 250, 350, 450, 550, 650, 750, 850, 950.

Пошаговое объяснение:

Признак делимости на 4:  

Число делится на 4, если его запись оканчивается двумя цифрами, образующими число, которое делится на 4; если его запись оканчивается двумя нулями.

Признак делимости на 25:

число делится на 25, если две его последние цифры — нули или образуют число, которое делится на 25.  На 25 делятся числа, которые оканчиваются числами 00, 25, 50 или 75.

Числа, которые оканчиваются на 00 делятся на 4, их нужно исключить.

Числа, которые оканчиваются на 25 и 75 не делятся на 2 (являются нечетными), их также нужно исключить.

В заданное множество войдут числа, которые оканчиваются на 50:

150, 250, 350, 450, 550, 650, 750, 850, 950.

4,5(57 оценок)
Это интересно:
logo
Вход Регистрация
Что ты хочешь узнать?
Спроси Mozg
Открыть лучший ответ