Пошаговое объяснение:
1) Преобразовать в многочлен стандартного вида выражение:
А)х2 – 3х + 4 + 6=
+3x+10
б)(3х - 1) х =3
-x
в)-2х (х3 – 3х + 1)=-2
-3
+1
г)(х + 3)(х2 - 3х + 9)=
-3
+9x+3
2)Упростить выражение:
а)4у2 (уn + 2n2) – 3уn (5y2 +3yn)=4
n+8
-15
б)6t (2t + 4) – (t + 3)(t – 7)=12
+24t-
3)Найти значение выражения
11ab + 2a - b - 8 при a = 0,21 и b = -3
11ab + 2a - b - 8=11*0.21*(-3)+2*0.21+3-8= -6.93+0.42-5=-11.51.
4)Решить уравнение:
(3x + 4)(4х - 3) – 36 = (2х + 5)(6х - 7)
12
-9x+16x-12-36=12
-14x+30x-35
-9x+16x-12-36+14x-30x+35=0
-9x-12=0
9x+12=0
9x=-12
x=-12/9
x=-4/3
x=-1 1/3
5. Представить в виде произведения многочлены
А) 4(k-2)+k(k-2) =4k-8+
-2k=
+2k-8
Б) 2-5r+2r-5
=-5
-3r+2
.
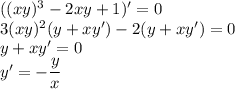
...а можно разрешить уравнение относительно y и продифференцировать то, что получится.
Решается такое уравнение просто:
(xy)^3-2xy+1=(xy)^3-(xy)^2+(xy)^2-2xy+1=(xy)^2(xy-1)+(xy-1)^2=(xy-1)((xy)^2+xy-1)=0
(xy-1)((xy)^2+xy-1)=0
Ноль первой скобки:
xy=1
y=1/x
y'=-1/x^2.
Нули второй скобки:
xy=(-1-+sqrt(5))/2
y=(-1-+sqrt(5))/2x
y'=(1+-sqrt(5))/2x^2