М
Молодежь
К
Компьютеры-и-электроника
Д
Дом-и-сад
С
Стиль-и-уход-за-собой
П
Праздники-и-традиции
Т
Транспорт
П
Путешествия
С
Семейная-жизнь
Ф
Философия-и-религия
Б
Без категории
М
Мир-работы
Х
Хобби-и-рукоделие
И
Искусство-и-развлечения
В
Взаимоотношения
З
Здоровье
К
Кулинария-и-гостеприимство
Ф
Финансы-и-бизнес
П
Питомцы-и-животные
О
Образование
О
Образование-и-коммуникации
supermichail29
supermichail29
14.11.2021 18:06 •  Математика

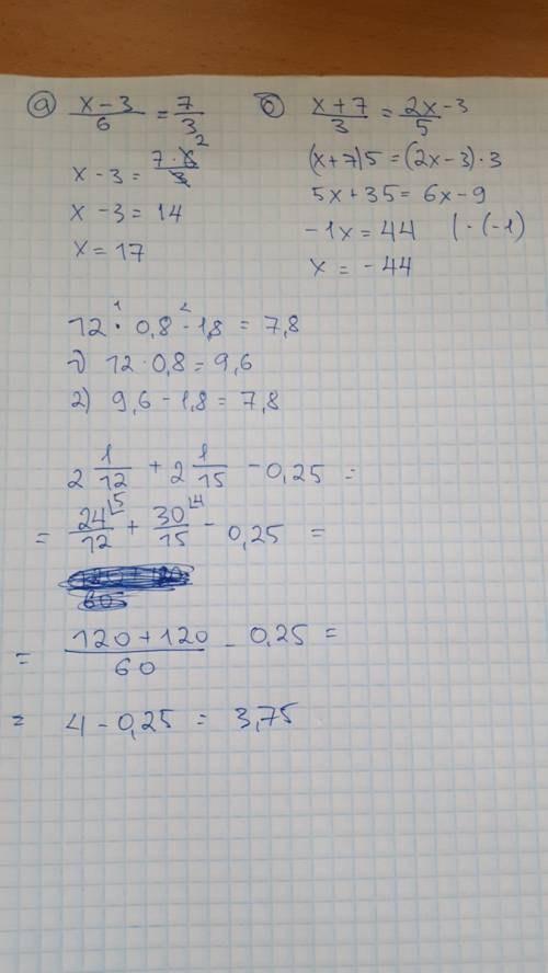
Решить пропорцию: а)x-3/6=7/3. б)x+7/3=2x-3/5 вычислить(по действиям): 12×0,8-1,8 2 1/12+2 1/15-0,25 (это дробь,если что)

👇
Ответ:
beyn1oyc4cd
beyn1oyc4cd
14.11.2021
Давай я просто скину тебе фотку
Решить пропорцию: а)x-3/6=7/3. б)x+7/3=2x-3/5 вычислить(по действиям): 12×0,8-1,8 2 1/12+2 1/15-0,2
4,4(53 оценок)
Открыть все ответы
Ответ:
myxa00mop
myxa00mop
14.11.2021
Скорость выполнения                    время                             итог
                                                         4 дня                             48 парт
 на 4 п. меньше                                   ?                                 48 парт
(Извините, пыталась сделать "что-то вроде таблицы", надеюсь, что понятно)
1) 48:4=12(п./д.) - красил маляр в норме
2) 12-4=8 (п./д.) - теперь красит маляр
3) 48:8=6 (дней) - будет красить маляр теперь.
Я старалась сделать все как можно понятнее
4,8(41 оценок)
Ответ:
veroonikanovit
veroonikanovit
14.11.2021

Пошаговое объяснение:

1.Выясним, за сколько дней, работая с той же производительностью, закончит работу 1 маляр: 5 · 3 = 15 дней.

Найдем, за сколько дней с работой справятся 5 маляров: 15 : 5 = 3 дня.

ответ: 3.

2.Выясним, сколько пюре получится из 1 кг яблок: 16 : 20 = 0,8 кг.

Найдем теперь, сколько пюре получится из 45 кг яблок: 0,8 · 45 = 36 кг.

ответ: 36 кг.

3.Выясним, во сколько раз больше свёклы потребуется взять, чтобы приготовить борщ, в котором будет содержаться 650 г мяса: 650 : 100 = 6,5.

Найдем, сколько понадобится свёклы: 60 · 6,5 = 390 г.

ответ: 390 г.

4,7(4 оценок)
Это интересно:
Новые ответы от MOGZ: Математика
logo
Вход Регистрация
Что ты хочешь узнать?
Спроси Mozg
Открыть лучший ответ