М
Молодежь
К
Компьютеры-и-электроника
Д
Дом-и-сад
С
Стиль-и-уход-за-собой
П
Праздники-и-традиции
Т
Транспорт
П
Путешествия
С
Семейная-жизнь
Ф
Философия-и-религия
Б
Без категории
М
Мир-работы
Х
Хобби-и-рукоделие
И
Искусство-и-развлечения
В
Взаимоотношения
З
Здоровье
К
Кулинария-и-гостеприимство
Ф
Финансы-и-бизнес
П
Питомцы-и-животные
О
Образование
О
Образование-и-коммуникации
Veronica123104
Veronica123104
14.03.2020 10:14 •  Математика

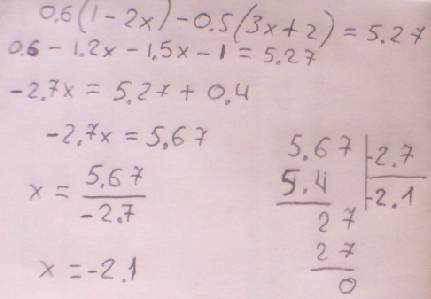
Решите уравнения 0,6.(1-2x)-0,5.(3x+2)=5,27 точки это умножения

👇
Ответ:
lyudsiya1337
lyudsiya1337
14.03.2020
Решение смотрите в вложении
Решите уравнения 0,6.(1-2x)-0,5.(3x+2)=5,27 точки это умножения
4,4(44 оценок)
Ответ:
Evloevckuú
Evloevckuú
14.03.2020
0,6-1,2x-1,5x+1=5,27
1,6-2,7x=5,27
2,7x=6,87
4,6(98 оценок)
Открыть все ответы
Ответ:
kek22821
kek22821
14.03.2020
   Вероятностью события называют отношение числа элементарных исходов испытания, благоприятствующих наступлению события, к числу всех возможных элементарных исходов испытания.
   Исходя из условий задачи, вероятность того, что Муми-тролль будет чувствовать себя совершенно счастливым, составляет 1/3 - математически: общее число исходов =3 дня, число благоприятных исходов (достаточно солнечный день) =1 день, а вот для Хемуля вероятность совершенно счастливого дня — 1/4, так как для него общее число исходов =4 дня, число благоприятных исходов (достаточно солнечный день) =1 день.
   Тогда, в силу теоремы сложения вероятностей, вероятность того, что в случайно выбранный день хотя бы один из них будет совершенно счастлив, составляет 1/3 + 1/4 = 7/12 ≈ 0,583
4,5(18 оценок)
Ответ:
Evildevil2
Evildevil2
14.03.2020
Пусть х это искомое расстояние от пункта а до Б
Тогда автобус проехал из а в Б за
Х/30 часа
Плюс он ехал 15 минут это 15/60=1/4 часа
Получаем автобус был в путь
Х/30+1/4

так как автобус догнал пешехода после того как развернулся в пункте Б, то
Автобус проехал за 15мин или 1/4 часа расстояние равное 1/4*30=7.5км
так как автобус догнал пешехода то они одно и тоже расстояние. Тоесть пешеход км
Найдем время за которое он
7.5/6=2.5/2=1.25 часа

это же время был автобус в пути
Поэтому
Х/30+1/4=1.25
Х/30=1.25-1/4=1.25-0.25=1
Х/30=1
Х=30 км
ответ 30 км
4,5(22 оценок)
Это интересно:
Новые ответы от MOGZ: Математика
logo
Вход Регистрация
Что ты хочешь узнать?
Спроси Mozg
Открыть лучший ответ