Пусть f(x)=ax+b где а,b - целые числа. найдите а и b если f((=243x+605 в левой части равенства функция f(x) применяется некоторое конечное число раз, большее одного
Саша плохо кушал. Он любил только конфеты и другие сладости. Но мама заставляла его кушать еще и кашу, борщ, суп, макароны, салаты и многое другое.-Не хочу, не буду есть!- повторял Саша. Мама говорила, что отдаст все собачке, кошке, но это не Толгда мама обещала не пускать Сашу на улицу, не разрешать смотреть«мультики», играть, не читать ему книжки и не давать конфет, если он не будет кушать. Саша обиделся.«Вот уйду от мамы насовсем, никто тогда не будет заставлять меня кушать». И ушел.Он оделся, положил в карман булочку, яблоко, конфету и пошел, куда глаза глядят. Долго он шел и встретил собачку. Собачка сидела на дороге и скулила. Саша спросил: -Почему ты плачешь? -Я хочу есть,- сказала собачка.- Я долго ничего не ела и стала совсем слабая. Чтобы быть сильным, надо хорошо есть. Саша был добрый мальчик.Он собачку и отдал ей свою булочку. Пошел он дальше.Видит, лежит под кустом зайчик и плачет.-Почему ты плачешь?- спросил Саша.- Я хочу кушать.Если я не буду есть, мои ножки совсем ослабеют, и я не смогу убежать ни от лисы, ни от волка. Зайчика Саша тоже и отдал ему свое яблоко. Потом он осмотрелся вокруг. Дом его не было видно, потому-что Саша ушел очень далеко. Он задумался:" Я устал, ножкиу меня болят, кушать хочется. Я тоже стал слабым, как собачка и зайчик, от голода. Он достал из кармана конфетку и съел ее, но сил унего от этого не прибавилось.«Какая польза от конфетки?- подумал Саша,-сейчас бы поесть каши, или борща, или лапши с котлеткой. Хоть бы молочка стакан выпить!» И Саша решил вернуться домой. Кто же его накормит, кроме мамы?! Он быстро побежал обратно. Хоть Саша и устал, но собрал все силы и добежал до своего дома. Дверь ему открыла мама.-Мама, скореедай мне покушать,- прямо с порога попросил Саша.-Я голодный, как собачка, я голодный, как зайчик, я такой слабенький. -Что ты будешь кушать?- спросила мама.-Я теперь все буду кушать.Я хочу быть сильным, здоровым, крепким, хочу вырасти большим. Теперь Саша стал хорошо кушать и дома и в детском садике.Даже просил добавки. Он ведь не хотел быть слабым и оставаться маленьким!
Компьютер... Что может скрывать в себе такое слово? Хорошая ли эта вещь? Вот раньше было здорово: дети читали книги и играли с друзьями во дворе; все эти блага можно было видеть в СССР в основном 1980-е годы. Завтрак, школа, домашнее задание, прогулка с друзьями, чтение книги и сон - это наверное уже ушедший в распорядок дня школьника. А сейчас, в современное время, что же мы видим: дети приходят из школы, садятся за компьютер, и начинают , как говориться , тупо играться в компьютерные игры, а домашнее задание откладывают на потом, на вечер. Итак, что мы можем сказать в итоге. Дети должны учиться, а не тратить время попусту - на компьютерные игры. Можно добавить: книга - лучший друг человека, а компьютерные игры - мировое зло.
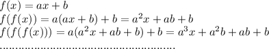
т.о. коэффициент перед х представляет собой выражение
число 243 можно представить как степень с натуральным показателем двумя как 243 в первой степени и как
.
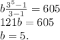
По условию n>1, тогда а=3, n=5. При n=5 свободный член равен
Применим формулу суммы первых n членов геометрической прогресси и получим
ответ: а=3, b=5.