М
Молодежь
К
Компьютеры-и-электроника
Д
Дом-и-сад
С
Стиль-и-уход-за-собой
П
Праздники-и-традиции
Т
Транспорт
П
Путешествия
С
Семейная-жизнь
Ф
Философия-и-религия
Б
Без категории
М
Мир-работы
Х
Хобби-и-рукоделие
И
Искусство-и-развлечения
В
Взаимоотношения
З
Здоровье
К
Кулинария-и-гостеприимство
Ф
Финансы-и-бизнес
П
Питомцы-и-животные
О
Образование
О
Образование-и-коммуникации
Lolololololololol4
Lolololololololol4
15.12.2021 00:52 •  Математика

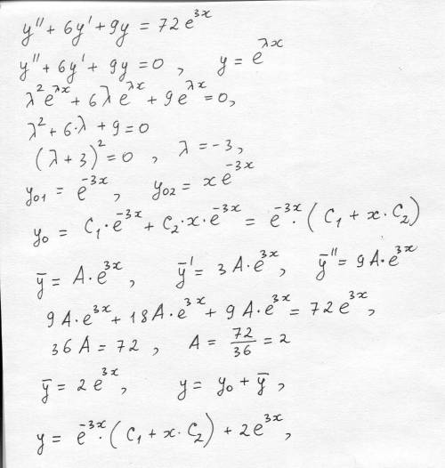
Решить. найдите общее решение уравнения y''+6y'+9y=72e^3x

👇
Ответ:
stefa91
stefa91
15.12.2021

Я написал решение на листочке ===>>


Решить. найдите общее решение уравнения y''+6y'+9y=72e^3x
4,4(30 оценок)
Открыть все ответы
Ответ:
Qwertyuiopkoval
Qwertyuiopkoval
15.12.2021

Пошаговое объяснение:

1) неравенства х ≥ -8 и х + 3 ≥ -5; являются равносильными, так как 2-е неравенство преобразуется в  х ≥ -8:

х + 3 ≥ -5  ⇒  х ≥ -5 - 3 ⇒ х ≥ - 8

2) неравенства у ≤ 10 и у - 1 ≤ 9; являются равносильными, так как 2-е неравенство преобразуется в у ≤ 10:

у - 1 ≤ 9;  ⇒  у ≤ 9 + 1 ⇒ у ≤ 10

3) неравенства х > 5 и 5х > 25 являются равносильными, так как 2-е неравенство преобразуется в

5х > 25   ⇒ x > 25 : 5   ⇒ x > 5

4) неравенства  х < 3 и -3х > -9 являются равносильными, так как 2-е неравенство преобразуется в

-3х > -9   ⇒   -х > -9 : 3   ⇒  -x  > -3   ⇒ x < 3

5) неравенства х < 20 и 0.5  (х+3) > 10 не являются равносильными, так как 2-е неравенство преобразуется в

0.5  (х+3) > 10   ⇒   0,5х + 1,5 > 10   ⇒    0.5x > 10 - 1.5   ⇒   0.5x > 8.5    ⇒

⇒ x > 17

6)  неравенства у ≥ -16 и -0.25у ≤ 4 являются равносильными, так как 2-е неравенство преобразуется в

-0.25у ≤ 4   ⇒ -y ≤ 16   ⇒ y ≥ - 16

4,4(61 оценок)
Ответ:
Viksalexa
Viksalexa
15.12.2021

Равносильные неравенства – неравенства, имеющие одни и те же решения. В частном случае, неравенства, не имеющие решений, тоже называются равносильными.

1) 20·x-11≥19·x+18

20·x-19·x≥18+11

x≥29

x∈[29; +∞)

13·x-2≥12·x+27

13·x-12·x≥27+2

x≥29

x∈[29; +∞)

Так как множества решений совпадают, то неравенства

20·x-11≥19·x+18 и 13·x-2≥12·x+27

равносильны!

2) 35·y-12,8<1,2

35·y<1,2+12,8

35·y<14

y<14/35

y<2/5

y∈(-∞; 2/5)

5·y<2

y<2/5

y∈(-∞; 2/5)

Так как множества решений совпадают, то неравенства

35·y-12,8<1,2 и 5·y<2

равносильны!

4,5(64 оценок)
Это интересно:
Новые ответы от MOGZ: Математика
logo
Вход Регистрация
Что ты хочешь узнать?
Спроси Mozg
Открыть лучший ответ