М
Молодежь
К
Компьютеры-и-электроника
Д
Дом-и-сад
С
Стиль-и-уход-за-собой
П
Праздники-и-традиции
Т
Транспорт
П
Путешествия
С
Семейная-жизнь
Ф
Философия-и-религия
Б
Без категории
М
Мир-работы
Х
Хобби-и-рукоделие
И
Искусство-и-развлечения
В
Взаимоотношения
З
Здоровье
К
Кулинария-и-гостеприимство
Ф
Финансы-и-бизнес
П
Питомцы-и-животные
О
Образование
О
Образование-и-коммуникации
folaelena1
folaelena1
29.08.2022 04:40 •  Математика

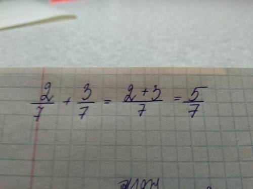
Представьте в виде обыкновенной дроби выражение 2/7+3/7= ​

👇
Ответ:
sashkaveber
sashkaveber
29.08.2022

ответ:5/7

Пошаговое объяснение: сложить две дроби с одинаковым знаменателем

4,4(24 оценок)
Ответ:
Ulugbek9i
Ulugbek9i
29.08.2022

Пошаговое объяснение:


Представьте в виде обыкновенной дроби выражение 2/7+3/7= ​
4,8(15 оценок)
Открыть все ответы
Ответ:
кика20051
кика20051
29.08.2022
Если из любого числа вычесть число, которое делится на 11, то получится число с таким же остатком от деления на 11, как и первоначальное.
Можно сразу убрать первые 11 и последние 1111111111 = 11*101010101
Два 0 спереди тоже отбрасываются. Остается
11100111100111110011111100111111100111111110011111111100
Четное количество нулей тоже можно убрать, от них ничего не зависит.
Например, число 100 или 10000 при делении на 11 дает остаток 1.
111001111001111100111111001111111001111111100111111111
Теперь опять убираем 2 единицы спереди и 8 единиц сзади.
10011110011111001111110011111110011111111001
В начале и в конце получились числа 1001 = 7*11*13, тоже кратные 11
111001111100111111001111111001111111
Продолжаем в том же духе - убираем четные количества 1 и 0
1001111100111111001111111001
11110011111100111111
0011111100
111111
Это число делится на 11 нацело. Значит, и исходное тоже.
ответ: остаток равен 0 
4,5(20 оценок)
Ответ:
Исбанка
Исбанка
29.08.2022
Если из любого числа вычесть число, которое делится на 11, то получится число с таким же остатком от деления на 11, как и первоначальное.
Можно сразу убрать первые 11 и последние 1111111111 = 11*101010101
Два 0 спереди тоже отбрасываются. Остается
111001111001111100111111001111111001111111100111111111000000000000
Четное количество нулей тоже можно убрать, от них ничего не зависит.
Например, число 100 или 10000 при делении на 11 дает остаток 1.
111001111001111100111111001111111001111111100111111111
Теперь опять убираем 2 единицы спереди и 8 единиц сзади.
10011110011111001111110011111110011111111001
В начале и в конце получились числа 1001 = 7*11*13, тоже кратные 11
111001111100111111001111111001111111
Продолжаем в том же духе - убираем четные количества 1 и 0
1001111100111111001111111001
11110011111100111111
0011111100
111111
Это число делится на 11 нацело. Значит, и исходное тоже.
ответ: остаток равен 0
4,8(55 оценок)
Это интересно:
Новые ответы от MOGZ: Математика
logo
Вход Регистрация
Что ты хочешь узнать?
Спроси Mozg
Открыть лучший ответ