М
Молодежь
К
Компьютеры-и-электроника
Д
Дом-и-сад
С
Стиль-и-уход-за-собой
П
Праздники-и-традиции
Т
Транспорт
П
Путешествия
С
Семейная-жизнь
Ф
Философия-и-религия
Б
Без категории
М
Мир-работы
Х
Хобби-и-рукоделие
И
Искусство-и-развлечения
В
Взаимоотношения
З
Здоровье
К
Кулинария-и-гостеприимство
Ф
Финансы-и-бизнес
П
Питомцы-и-животные
О
Образование
О
Образование-и-коммуникации
kristinasotsen
kristinasotsen
01.12.2022 01:02 •  Математика

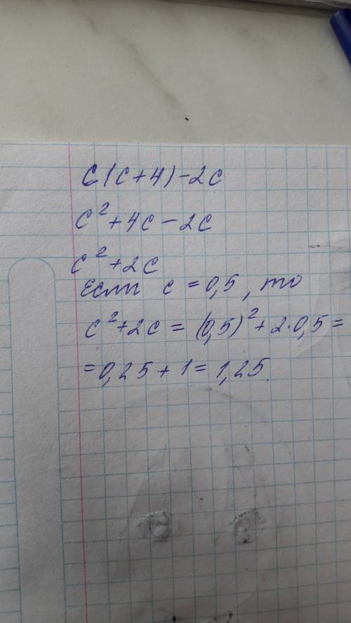
Выражение c(c+4)-2c найдите его значение при c равную 0,5

👇
Ответ:
hocoladka
hocoladka
01.12.2022
В строчку записать только
Выражение c(c+4)-2c найдите его значение при c равную 0,5
4,6(24 оценок)
Открыть все ответы
Ответ:
VIGOMIC
VIGOMIC
01.12.2022

ответ:  1-б  ,  2-в , 3-б , 4-а , 5-в .

1)   Углом называют часть плоскости , ограниченную двумя лучами, выходящими из одной точки.

В пункте в) написано, что это два луча, выходящие из одной точки, но не написано, что это часть плоскости между этими лучами. Поэтому выбираем ответ б) - геометрическая фигура.

2)  Углы  могут быть и острыми, и прямыми , и тупыми. ответ в) .

3) ∠1 - острый угол, ∠2 - тупой угол. Любой острый угол меньше тупого. ответ б) .

4)  Угол можно обозначить либо одной буквой ∠О, либо тремя ∠КОZ . ответ а) .

5)  На рисунке изображено 6 углов.

4,4(46 оценок)
Ответ:
0000444455665
0000444455665
01.12.2022

Размах ряда чисел - это разность между наибольшим и наименьшим из этих чисел.

Среднее арифметическое ряда чисел - это отношение суммы этих чисел на число слагаемых.

Мода ряда чисел - это число, которое встречается в этом ряду чаще других.

Медиана ряда чисел - это число, стоящее посередине упорядоченного по возрастанию ряда чисел (в случае, если количество чисел нечетное).

Медиана ряда чисел - это полусумма двух стоящих посередине чисел упорядоченного по возрастанию ряда (в случае, если количество чисел четное).

Задание 1. 

Размах: 47-25=22;

Среднее арифметическое:  ;

Мода: 33;

Медиана: 38.

Задание 2.

Размах: 44-30=14;

Среднее арифметическое:  ;

Мода: 36;

Медиана:  .

Задание 3.

Размах: 46-24=22;

Среднее арифметическое:  ;

Мода: 34;

Медиана:  .

Задание 4.

Размах: 58-24=34;

Среднее арифметическое:  ;

Мода: 35;

Медиана: 34.

Пошаговое объяснение:

4,8(54 оценок)
Это интересно:
Новые ответы от MOGZ: Математика
logo
Вход Регистрация
Что ты хочешь узнать?
Спроси Mozg
Открыть лучший ответ