М
Молодежь
К
Компьютеры-и-электроника
Д
Дом-и-сад
С
Стиль-и-уход-за-собой
П
Праздники-и-традиции
Т
Транспорт
П
Путешествия
С
Семейная-жизнь
Ф
Философия-и-религия
Б
Без категории
М
Мир-работы
Х
Хобби-и-рукоделие
И
Искусство-и-развлечения
В
Взаимоотношения
З
Здоровье
К
Кулинария-и-гостеприимство
Ф
Финансы-и-бизнес
П
Питомцы-и-животные
О
Образование
О
Образование-и-коммуникации
Aleqs2005
Aleqs2005
24.06.2020 19:00 •  Математика

Япрочитал 3/8 книги и ещё 52 страници и заметил что мне исталось прочесть ещё 1/2 книги без 12 страниц сколько стрпниц в книге

👇
Ответ:
AnnFair
AnnFair
24.06.2020
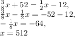
Х страниц в книге
\frac{3}{8}x+52=\frac{1}{2}x-12, \\ \frac{3}{8}x-\frac{1}{2}x=-52-12, \\-\frac{1}{8}x=-64, \\ x=512
4,7(18 оценок)
Открыть все ответы
Ответ:
anita1234213
anita1234213
24.06.2020
6шагов гулливера = 60 шагам лилипута. так как на каждый один шаг гулливера, (10 шагов для лилипута) лилипут пробегает ещё 7 шагов (60-10+7), то первоначальное расстояние между ними каждый раз сокращается на 3 шага лилипута (60-10+7=57-10+7=54-10+ для того, чтобы узнать сколько шагов успеет пробежать лилипут до того момента, когда гулливер его догонит, нужно разделить первоначальное расстояние на 3 (60: 3=20). ответ: лилипут успеет пробежать ещё 20 шагов до того момента, когда гулливер его догонит.
4,6(59 оценок)
Ответ:
ritakosyanenko
ritakosyanenko
24.06.2020
67:9=7 ост.4 
делают это так подбираешь число которое самое близкое к этому числу и чтоб делилось на делитель например:67:9(тут у нас самое близкое число 63(это целое),и от 67-63(это остаток).

  7                    63
*9                  +
---                       4               __ПРОВЕРКА        правило:частное умножаем на делитель и прибавляем остаток
63                 
                         67

28:30=1 ОСТ 2   (меняем местами)                  673:4=67 ост 5         489:9=   54 ост 3              544:5=108 ост 4
4,6(1 оценок)
Это интересно:
Новые ответы от MOGZ: Математика
logo
Вход Регистрация
Что ты хочешь узнать?
Спроси Mozg
Открыть лучший ответ