М
Молодежь
К
Компьютеры-и-электроника
Д
Дом-и-сад
С
Стиль-и-уход-за-собой
П
Праздники-и-традиции
Т
Транспорт
П
Путешествия
С
Семейная-жизнь
Ф
Философия-и-религия
Б
Без категории
М
Мир-работы
Х
Хобби-и-рукоделие
И
Искусство-и-развлечения
В
Взаимоотношения
З
Здоровье
К
Кулинария-и-гостеприимство
Ф
Финансы-и-бизнес
П
Питомцы-и-животные
О
Образование
О
Образование-и-коммуникации

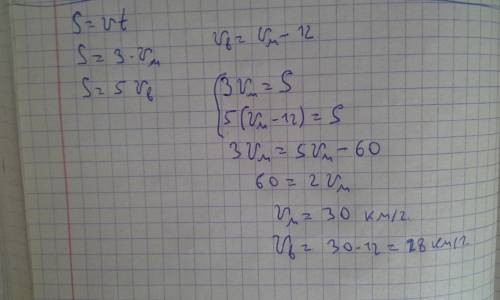
Решите с уравнения за 3 ч мотоциклист проезжает столько же километров что и велосипедист за 5ч найдите скорость велосипедиста если она на 12км/ч меньше скорости мотоциклиста

👇
Ответ:
artchapyshev
artchapyshev
11.12.2022
S = VT
S = 3часа х V(мотоциклиста)
S = 5часов х V(велосипедиста)
у них путь одинаковый
V(велосипедиста) = V(мотоциклиста) - 12 км
Вот уравнение:

Решите с уравнения за 3 ч мотоциклист проезжает столько же километров что и велосипедист за 5ч найди
4,7(60 оценок)
Открыть все ответы
Ответ:
sddssddd
sddssddd
11.12.2022
Чтобы найти неизвестное слагаемое, надо из суммы вычесть известное слагаемое. …………………………………………………………..

Результат умножения двух и более множителей называется……произведением……………………………………

Чтобы найти делимое, надо частное умножить на делитель………………………………………………………………………………

Результат вычитания чисел называется …………разность………………………………………………………

Результат сложения двух и более слагаемых называется …………сумма……………………………

Чтобы найти неизвестный множитель, надо…произведение разделить на известный множитель……………………………………………………….

Результат деления чисел называется…частное……………………………………………………………….

Чтобы найти уменьшаемое, надо…к разности прибавить вычитаемое………………………………………………………………………

Чтобы найти делитель, надо………делимое разделить на частное………………………………………………………………………

Чтобы найти вычитаемое, надо…из уменьшаемого вычесть разность……………………………………………………………………

Чтобы найти на сколько одно число больше или меньше другого, надо…из большего числа вычесь меньшее……………………….

……………………………………………………………………………………………………………..

Чтобы найти во сколько раз одно число больше или меньше другого, надо …………большее число разделить на меньшее…………….

………………………………………………………………………………………………………………….

В выражении без 
скобок, содержащем только сложение и вычитание или умножение и деление,
действия выполняются …по порядку……………… ……………………………………………………………. 

В выражениях, содержащих скобки, сначала выполняются все действия ………………………..в скобках

……………………………………………………………………………………………………………………………………………………………………………………………………………………………………..

Периметр фигуры – это сумма длин всех сторон фигуры…………………………………………………………………………………

Периметр прямоугольника равен ………удвоенной сумме его длины и ширины………………………………………………………………

Периметр квадрата равен ………квадрату его стороны………………………

Полупериметр прямоугольника – это …………половина его периметра или сумма длины и ширины……………………………………………………

Чтобы найти сторону квадрата, надо значение его периметра……разделить на 4 и результат возвести в квадрат……………………………………

Чтобы найти площадь прямоугольника, надо ……………………………………его длину умножить на ширину……………………...

Чтобы найти ширину прямоугольника, надо его площадь……………разделить на длину………………………………

Чтобы найти длину прямоугольника, надо ……его площадь разделить на ширину……………………………………………………….
4,6(15 оценок)
Ответ:
Кириджа114
Кириджа114
11.12.2022
Чтобы найти неизвестное слагаемое, надо из суммы вычесть другое слагаемое.
Результат умножения двух и более множителей называется произведение.
Чтобы найти делимое, надо делитель умножить на частное.

Результат вычитания чисел называется разность
Результат сложения двух и более слагаемых называется сумма.
Чтобы найти неизвестный множитель, надо произведение разделить на другой множитель.
Результат деления чисел называется частным.
Чтобы найти уменьшаемое, надо к вычитаемому прибавить разность.
Чтобы найти делитель, надо делимое разделить на частное.
Чтобы найти вычитаемое, надо из уменьшаемого вычесть разность.
Чтобы найти на сколько одно число больше или меньше другого, надоиз большего числа вычесть меньшее.
……………………………………………………………………………………………………………..

Чтобы найти во сколько раз одно число больше или меньше другого, надо большее число разделить на меньшее.

………………………………………………………………………………………………………………….

В выражении без
скобок, содержащем только сложение и вычитание или умножение и деление,
действия выполняются  по порядку.………………… …………………………………………………………….

В выражениях, содержащих скобки, сначала выполняются все действия в скобках.………………………..

……………………………………………………………………………………………………………………………………………………………………………………………………………………………………..

Периметр фигуры – это сумма длин всех сторон.

Периметр прямоугольника равен сумме двух сторон, умноженной на 2. Р = 2* (а+в)………………………………………………………………………

Периметр квадрата равен длина стороны, умноженная на 4………………………………

Полупериметр прямоугольника – это длина двух сторон………………………………………………………………

Чтобы найти сторону квадрата, надо значение его периметра разделить на4………………………………………

Чтобы найти площадь прямоугольника, надо значение длины умножить на значение ширины.
Чтобы найти ширину прямоугольника, надо его площадь разделить на длину.……………………………………………

Чтобы найти длину прямоугольника, надо его площадь разделить на ширину.…………………………………………………………….
4,8(54 оценок)
Это интересно:
Новые ответы от MOGZ: Математика
logo
Вход Регистрация
Что ты хочешь узнать?
Спроси Mozg
Открыть лучший ответ