М
Молодежь
К
Компьютеры-и-электроника
Д
Дом-и-сад
С
Стиль-и-уход-за-собой
П
Праздники-и-традиции
Т
Транспорт
П
Путешествия
С
Семейная-жизнь
Ф
Философия-и-религия
Б
Без категории
М
Мир-работы
Х
Хобби-и-рукоделие
И
Искусство-и-развлечения
В
Взаимоотношения
З
Здоровье
К
Кулинария-и-гостеприимство
Ф
Финансы-и-бизнес
П
Питомцы-и-животные
О
Образование
О
Образование-и-коммуникации
maks695
maks695
27.06.2022 09:36 •  Математика

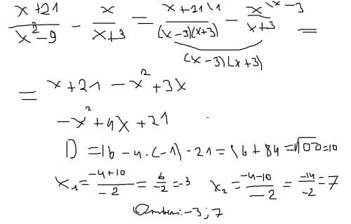
17. решите уравнение x+21/x^2-9 - x/x+3=0

👇
Ответ:
mc9584
mc9584
27.06.2022
Вот,держи решение,думаю верно ))
17. решите уравнение x+21/x^2-9 - x/x+3=0
4,8(86 оценок)
Открыть все ответы
Ответ:
vikaivanyk
vikaivanyk
27.06.2022
Простое предложение может быть односоставным (один главный член) и двусоставным (оба главных члена - подлежащее и сказуемое) .
Односоставные бывают двух видов: назывные (если главный член - подлежащее) и 4 группы, если главный член-сказуемое, это: определенно-личные, безличные, неопределенно-личные, обобщенно-личные.
Также простые предложения по типу высказывания делятся на: повествовательные, вопросительные, побудительные.
По интонации простые предложения могут быть восклицательными и невосклицательными.
Если есть второстепенные члены, то простое предложение является распространенным, если только подлежащее и сказуемое, то нераспространенное.
4,4(59 оценок)
Ответ:
icefice0
icefice0
27.06.2022
Какой-то человек находится на острове, на котором вся растительность из-за долгой засухи сильно пересохла. Внезапно на одном конце острова возник пожар, и ветер погнал огонь в сторону человека в море чело­век не может, так как в море у самого берега плавает множество акул. Берегов без растительности на острове нет. Как человеку
 ОТВЕТ:Ему нужно зажечь огонь от подветренной от себя стороны, отойти в сторону основного пожара и подождать, пока выгорит растительность у берега. Тогда вернуться назад и спокойно ждать, пока основной пожар дойдет до этого участка и погаснет, так как гореть там уже будет нечему.
4,7(100 оценок)
Это интересно:
Новые ответы от MOGZ: Математика
logo
Вход Регистрация
Что ты хочешь узнать?
Спроси Mozg
Открыть лучший ответ