М
Молодежь
К
Компьютеры-и-электроника
Д
Дом-и-сад
С
Стиль-и-уход-за-собой
П
Праздники-и-традиции
Т
Транспорт
П
Путешествия
С
Семейная-жизнь
Ф
Философия-и-религия
Б
Без категории
М
Мир-работы
Х
Хобби-и-рукоделие
И
Искусство-и-развлечения
В
Взаимоотношения
З
Здоровье
К
Кулинария-и-гостеприимство
Ф
Финансы-и-бизнес
П
Питомцы-и-животные
О
Образование
О
Образование-и-коммуникации
mops123321
mops123321
23.11.2021 07:08 •  Математика

Решить дифференциальное уравнения с разделенными переменными: 2y' = y при x = 0, y = 1

👇
Ответ:
Farys
Farys
23.11.2021
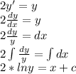
2y'=y
 \\ 2 \frac{dy}{dx} =y \\ 2 \frac{dy}{y} =dx \\ 2\int\limits {\frac{dy}{y}} = \int\limits {dx} \\ 2*lny=x+c
когда x = 0, y = 1 ⇒ 2*ln1=0+C ⇒ C=0 ⇒   
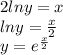
2lny=x \\ lny= \frac{x}{2} \\ y= e^{ \frac{x}{2}}
4,6(6 оценок)
Открыть все ответы
Ответ:
BPANRUSSIA
BPANRUSSIA
23.11.2021
Что человечество придумает,найдёт и изобретёт,в ближайшее столетие ,по вашему личному мнению,каким вам видится будущее,давайте немного помечтаем,Сможет ли человечество изобрести машину времени,найти философский камень ,найти идеальную формулу любви,придумать эликсир жизни ,эликсир бессмертия,лекарство от всех болезней,объявить всеобщее разоружение, остановить и запретить все конфликты и войны на планете Земля и жить наконец в мире друг с другом,Обязательное всеобщее бесплатное высшее образование для всей молодежи планеты и так далее и тому подобное 
Если поблагодари
4,4(20 оценок)
Ответ:
kulagindemid20
kulagindemid20
23.11.2021
Как отличить съедобный гриб от несъедобного – вот основной вопрос начинающего грибника.Увы, однозначного признака, позволяющего с уверенностью сказать съедобен гриб или нет, не существует… Многие съедобные грибы имеют непрезентабельный вид и напротив, многие несъедобные так и просятся в корзинку в определении съедобности гриба может быть только опыт. Именно поэтому на нашеим сайте собрана информация не только о желанных трофеях грибника, но и о грибах несъедобных. Врага нужно знать в лицо!Несъедобен из-за весьма горького вкуса и, по-видимому, он несколько ядовит. Растет в июле — сентябре на песчаной почве в хвойных лесах, иногда на гнилых, обросших мхом пнях и на основаниистволов деревьев. Имеет внешнее сходство с белым грибом и березовиком, особенно в молодом возрасте. Но его легко можно отличить от этих съедобных грибов по темному сетчатому рисунку на ножке, грязновато-розоватому трубчатому слою, горькой и слегка розовеющей на изжше мякоти. Определить его просто. Можно слегка лизнуть языком мякоть гриба. Вы сразу почувствуете горьковатый привкус.Несъедобен из-за острого перечного, жгучего вкуса мякоти. Встречается обычно в хвойных лесах. Имеет некоторое сходство со съедобными маслятами, зеленым моховиком и козляком. Распознать его можно по желтовато-красному трубчатому слою и едкой горечи мякоти.Перечный гриб не съедобен, но и не ядовит.
4,4(84 оценок)
Это интересно:
Новые ответы от MOGZ: Математика
logo
Вход Регистрация
Что ты хочешь узнать?
Спроси Mozg
Открыть лучший ответ