М
Молодежь
К
Компьютеры-и-электроника
Д
Дом-и-сад
С
Стиль-и-уход-за-собой
П
Праздники-и-традиции
Т
Транспорт
П
Путешествия
С
Семейная-жизнь
Ф
Философия-и-религия
Б
Без категории
М
Мир-работы
Х
Хобби-и-рукоделие
И
Искусство-и-развлечения
В
Взаимоотношения
З
Здоровье
К
Кулинария-и-гостеприимство
Ф
Финансы-и-бизнес
П
Питомцы-и-животные
О
Образование
О
Образование-и-коммуникации
Bosik222
Bosik222
15.08.2021 20:49 •  Математика

Найдите ноли функции(y=0) x^4-6x^2=7 - (^4)(^2) - степени

👇
Ответ:
VIP161
VIP161
15.08.2021
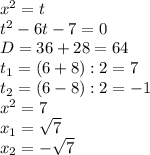
x^2=t\\
t^2-6t-7=0\\
D=36+28=64\\
t_1=(6+8):2=7\\
t_2=(6-8):2=-1\\
x^2=7\\
x_1= \sqrt{7}\\
x_2=- \sqrt{7}
4,7(76 оценок)
Открыть все ответы
Ответ:
Stasya1985
Stasya1985
15.08.2021
1) ООФ: x∈R

2) y(-x) = (-x)²+2 = x²+2 = y(x) - функция чётная.

3) пересечение с осями
С OY, x=0:
y = 2
(0; 2)

С OX, y=0:
x²+2 = 0
x² = -2
Уравнение не имеет решения, значит с OX пересечения нет.

4) крит. точки, интервалы возрастания и убывания:
y' = 2x
2x = 0
x = 0

При x∈(-∞; 0) y'(x) < 0 - функция убывает
При x∈(0; +∞) y'(x) > 0 - функция возрастает
(0; 2) - точка минимума.

5) точки перегиба, интервалы выпуклости и вогнутости:
y'' = 2>0 - функция вогнута на всей области определения

6) график - см. рисунок
С! исследовать функцию и построить график y=x^2 +2 заранее огромное вам
4,6(71 оценок)
Ответ:
Пакета
Пакета
15.08.2021
Красота – это окружающий нас мир, такой привычный и такой удивительный в своей неповторимости.Выйдите на хорошо знакомую улицу в морозную лунную ночь. Вы перенесетесь в сказку. Миллиарды драгоценных камней рассыпаны у вас под ногами. Они сверкают и переливаются в лунном свете. А как прекрасны покрытые инеем деревья в лучах восходящего солнца. От их блеска зажмуриваешь глаза.
Великолепие осеннего пейзажа можно описывать множество раз, а уж любоваться им не надоест никогда. А. С. Пушкин назвал осень «пышным природы увяданием». А мне осеннее преображение природы кажется яркой вспышкой, блеском. Посмотрите на лес. Он горит ярким пламенем. А какое умиротворение охватывает тебя в лесу, когда опавшие листья шуршат у тебя под ногами. Природа осенью, как сказочная Золушка, преображается, чтобы навсегда поразить наши сердца беззаветной любовью к родной земле.
Родные просторы прекрасны в любое время года. Можно бесконечно писать об этой красоте. Но лучше все же отправиться в лес, в поле и просто любоваться родными просторами, наслаждаясь их непередаваемой прелестью.
4,8(73 оценок)
Это интересно:
Новые ответы от MOGZ: Математика
logo
Вход Регистрация
Что ты хочешь узнать?
Спроси Mozg
Открыть лучший ответ