М
Молодежь
К
Компьютеры-и-электроника
Д
Дом-и-сад
С
Стиль-и-уход-за-собой
П
Праздники-и-традиции
Т
Транспорт
П
Путешествия
С
Семейная-жизнь
Ф
Философия-и-религия
Б
Без категории
М
Мир-работы
Х
Хобби-и-рукоделие
И
Искусство-и-развлечения
В
Взаимоотношения
З
Здоровье
К
Кулинария-и-гостеприимство
Ф
Финансы-и-бизнес
П
Питомцы-и-животные
О
Образование
О
Образование-и-коммуникации
mixakov05
mixakov05
13.07.2021 00:50 •  Математика

Найти координаты точек параболы y= -х²-5x+16 у которых сумма абсцысы и ординат ы равняется 4

👇
Ответ:
orehskonastia
orehskonastia
13.07.2021
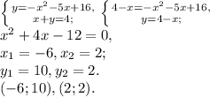
\left \{ {{y=-x^2-5x+16,} \atop {x+y=4;}} \right. \left \{ {{4-x=-x^2-5x+16,} \atop {y=4-x;}} \right. \\ x^2+4x-12=0, \\ x_1=-6, x_2=2; \\ y_1=10, y_2=2. \\ (-6;10), (2;2).
4,7(83 оценок)
Открыть все ответы
Ответ:
Истины эти не какой-то строгий закон, это просто обобщение наших знаний о природе.
1. Любое вмешательство человека в природу нарушает естественный природный цикл (круговороты воды, энергии, прочих элементов экосистемы), что влечет цепную реакцию причинноследственных связей и втой или иной степени оказывает влияние на все элементы экосистемы. Механизмы взаимодействия этих элементов столь сложны, что практически невозможно точно просчитать эффект нашего воздействия на природу.
2. Опять взаимосвязь всех элементов природы и основная мысль, что человек не может себя изолировать от природы при всем желании. он всегда будет звеном экосистем.
3. Принцип такой утопический при котором человек должен стремиться к использованию возобновляемых источников энергии, экологически чистых и разлагаемых материалов. При данном уровне развития технологий этот принцип недостижим. 
4. Предел означает, что природа обладает некоторой эластичностью и может в некоторой степени компенсировать негативное на неё воздействие, однако неограниченное производство и загрязнение в конечном итоге могут привести в катастрофе, т.е. бесконечно загрязнять землю и комфортно при этом жить на ней не получится.
5. Как раз то, что касается комфортных условий существования организма. Для разных организмов существует определенных диапозон физических, химических и биологических показателей при которых они могут существовать. Температура, радиация, уровень обмена веществ и т.д. когда какой-нибудь показатель выходит за границы допустимых значений - организм погибает.
6. Рост популяции происходит при благоприятных условиях: обилие пищи, отсутствие конкурентов, однако с ростом популяции ресурсы, которых раньше всем хватало в изобилии делятся все на большее число особей, т.е. каждому достается все меньше и меньше, в какой-то момент ресурсов становится ровно столько, чтобы сохранять популяцию на некотором уровне или даже меньше и тогда популяция естественным образом сокращается.
7. То что было описано в первом пункте еще раз. Природа очень сложная, саморегулирующаяся система в которой человек становится все более инородным звеном. Я думаю в идеале, человек должен оставить Землю в покое, осваивать космос и все такое, а Земле дать возможность родить может быть еще одну разумную жизнь. )
4,4(31 оценок)
Ответ:
kolya1pokachalov
kolya1pokachalov
13.07.2021
Пресмыкающихся Крыма представляют 14 видов, среди которых есть ящерицы, змеи и черепахи.
Пернатые Крыма(дельфины,медузы,рыбы*,черепахи,крабы,жучки паучки и тд).Численно преобладают в Крыму гнездящиеся птицы, они составляют примерно 60 % всего пернатого населения(чайки,голуби,змееяд, степной орел, скопа, орел-карлик, могильник, орлан-белохвост, беркут, стервятник, черный гриф, белоголовый сип, балобан, сапсан и ночной хищник — филин).
флора:самые обычные мхи,лишайники*,грибы,цветы,деревья,кустарнички,ореховые деревья,виноградники,фейхоа и тд.
охраняемые территории это заповедники.
Поищи в карте атласа,они специально обозначены(если новая версия)
4,4(78 оценок)
Новые ответы от MOGZ: Математика
logo
Вход Регистрация
Что ты хочешь узнать?
Спроси Mozg
Открыть лучший ответ