М
Молодежь
К
Компьютеры-и-электроника
Д
Дом-и-сад
С
Стиль-и-уход-за-собой
П
Праздники-и-традиции
Т
Транспорт
П
Путешествия
С
Семейная-жизнь
Ф
Философия-и-религия
Б
Без категории
М
Мир-работы
Х
Хобби-и-рукоделие
И
Искусство-и-развлечения
В
Взаимоотношения
З
Здоровье
К
Кулинария-и-гостеприимство
Ф
Финансы-и-бизнес
П
Питомцы-и-животные
О
Образование
О
Образование-и-коммуникации
anyaannaegorova
anyaannaegorova
19.04.2020 00:53 •  Математика

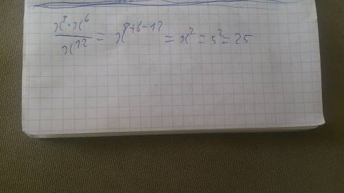
Найдите значение выражение: х в степени 8× х в степени 6 дробь х в степени 12 при х=5

👇
Ответ:
89004613297cn
89004613297cn
19.04.2020
.,.,.,.,.,.,.,.,.,.,.,.,
Найдите значение выражение: х в степени 8× х в степени 6 дробь х в степени 12 при х=5
4,4(57 оценок)
Открыть все ответы
Ответ:
Nesty111111
Nesty111111
19.04.2020
Задача №1
Пусть х - градусная мера ∠DOK, тогда ∠NOD=х+20°. ∠NOK = 120°.
Составим и решим уравнение:
х+х+20°=120°
2х=120°-20°
2х=100°
х=100°:2
х=50° - градусная мера ∠DOK
50°+20°=70° - градусная мера ∠NOD
Проверка:
50°+70°=120°
120°=120°
ответ: ∠DOK=50°

Задача №2
Пусть х - градусная мера ∠DOK, тогда ∠NOD=3х. ∠NOK = 120°.
Составим и решим уравнение:
х+3х=120°
4х=120°
х=120°:4
х=30° - градусная мера ∠DOK
30°*3=90° - градусная мера ∠NOD
Проверка:
30°+90°=120°
120°=120°
ответ: ∠DOK=30°

Задача №3
Пусть х - градусная мера ∠DOK, тогда ∠NOD=х/2. ∠NOK = 120°.
Составим и решим уравнение:
х+х/2=120°
2х+х=240°
3х=240°
х=240°:3
х=80° - градусная мера ∠DOK
80°:2=40° - градусная мера ∠NOD
Проверка:
80°+40°=120°
120°=120°
ответ: ∠DOK=80°
Рисунки приблизительные, начерчены в Paint.
Решите с уравнения .угол nok равен 120˚,od-луч,проведенный внутри него.сколько градусов содержит уго
4,6(89 оценок)
Ответ:
VILI7575
VILI7575
19.04.2020
Пусть х - количество книг, которые надо переплести, тогда одна мастерская переплела (х* 7/10) + 24
Осталось х - (7х/10 + 24)
Другая мастерская переплела 15/17 от оставшихся т. е. (х - (7х/10 +24)) * 15/17
Зная, что осталось переплести еще 18 книг, то составим уравнение.
И постараемся его решить (оно получилось длинное).
х - (7х/10 + 24) - ((х -7х/10 + 24) *15/17) = 18

1) скобка 7х/10+24=(7х+240)/10
2) скобка (х-7х/10 + 24) =(10х-7х+240)/10=(3х+240)/10
3) скобка (3х+240)/10 * 15/17 =((3х+240)*3)/34=(9х+720) /34

И вот получается такой вид уравнения:
(3х+240)/10 - (9х+720)/34=18
Приводим левую часть к общему знаменателю 10*34=340
(102х+8160-90х-7200):340=18
(12х+960):340=18
12х=(18*340)-960
12х=5160
х=430 (книг) 

ответ: надо было переплести 430 книг.

Уфф! Еле осилила.
4,4(29 оценок)
Это интересно:
Новые ответы от MOGZ: Математика
logo
Вход Регистрация
Что ты хочешь узнать?
Спроси Mozg
Открыть лучший ответ