М
Молодежь
К
Компьютеры-и-электроника
Д
Дом-и-сад
С
Стиль-и-уход-за-собой
П
Праздники-и-традиции
Т
Транспорт
П
Путешествия
С
Семейная-жизнь
Ф
Философия-и-религия
Б
Без категории
М
Мир-работы
Х
Хобби-и-рукоделие
И
Искусство-и-развлечения
В
Взаимоотношения
З
Здоровье
К
Кулинария-и-гостеприимство
Ф
Финансы-и-бизнес
П
Питомцы-и-животные
О
Образование
О
Образование-и-коммуникации
HELP2606
HELP2606
15.08.2021 10:54 •  Математика

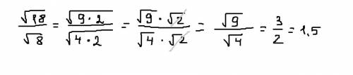
Вычислите: √18 / √8 с подробным решением.

👇
Ответ:
ilslim
ilslim
15.08.2021
\sqrt{18} / \sqrt{8} = \sqrt{3*3*2} / \sqrt{2*2*2} =3 \sqrt{2} /2 \sqrt{2} =3/2=1,5
4,8(35 оценок)
Ответ:
He12022005
He12022005
15.08.2021
Решениеееееееееееееее
Вычислите: √18 / √8 с подробным решением.
4,7(12 оценок)
Открыть все ответы
Ответ:
LizaKrem
LizaKrem
15.08.2021

Пошаговое объяснение:

1)Розв'яжіть рівняння 5 х – 60 = 12 – х.

5х - 60=12- х

5х+х=12+60

6х=72

х=12 - ответ

2)Розв'яжіть рівняння 0,5 + 3 х = 1,5 - 1

0,5 + 3 х = 1,5х-1

3х-1.5х= -1 -0.5

1.5х= - 1.5

х = -1 - ответ

3)Знайдіть суму коренів рівнянь 5(10 – 4х) = 50 і -3(2 – х) = -9. (розв'яжіть кожне рівняння окремо, відповіді додайте)

1)5(10 – 4х) = 50

50-20х=50

-20х=0

х=0

2)-3(2 – х) = -9

-6+3х=-9

3х=-3

х=-1

х1+х2=0+(-1)=-1 - ответ

4)Розв'яжіть рівняння 13 + 7х = 2х – 12

13 + 7х = 2х – 12

7х-2х=-12-13

5х=-25

х=-5 - ответ

5)Розв'яжіть рівняння 2(х – 3) + 5 = х

2(х – 3) + 5 = х

2х-6+5=х

2х-х=6-5

х=1 ответ

6)На двох складах разом є 2880 т вугілля. Скільки вугілля на кожному складі, якщо на першому його складі на 400 т менше , ніж на другому? (відповідь запишіть числа через кому)

пускай на первом складе х тонн, тогда на втором х+400.

вместе 2880 тонн, поэтому мы можем составить уравнение:

х + (х+400) = 2880

2х + 400 = 2880

2х = 2880 - 400

2х = 2480

х = 2480 : 2  

х = 1240 тонн - на первом

х + 400 = 1240 + 400 = 1640 тонн - на втором

ответ. на первом складе  1240 тонн  на втором складе  1640 тонн

4,6(40 оценок)
Ответ:
круголс
круголс
15.08.2021
Пусть х+3-основание    х-боковая сторона                                                          решение:2х+(х+3)=27                                                                                                          2х+х+3=27                                                                                                            3х=27-3                                                                                                                  3х=24                                                                                                                    х=8см-боковая сторона  8*2=16см-основная сторона
4,6(79 оценок)
Новые ответы от MOGZ: Математика
logo
Вход Регистрация
Что ты хочешь узнать?
Спроси Mozg
Открыть лучший ответ