М
Молодежь
К
Компьютеры-и-электроника
Д
Дом-и-сад
С
Стиль-и-уход-за-собой
П
Праздники-и-традиции
Т
Транспорт
П
Путешествия
С
Семейная-жизнь
Ф
Философия-и-религия
Б
Без категории
М
Мир-работы
Х
Хобби-и-рукоделие
И
Искусство-и-развлечения
В
Взаимоотношения
З
Здоровье
К
Кулинария-и-гостеприимство
Ф
Финансы-и-бизнес
П
Питомцы-и-животные
О
Образование
О
Образование-и-коммуникации
karina1zaporojckaya
karina1zaporojckaya
26.02.2021 17:06 •  Математика

Для функций f(x) найдите: область определения, производную, критические точки, промежутки монотонности, точки экстремума.постройте график функций y=f(x) f(x)=6x-2x^2+1 .xo=2. буду за сфотографировать на листочке)

👇
Ответ:
Ctatuetca
Ctatuetca
26.02.2021
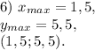
1) \ D_y=R;
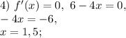
2) \ y=6x-2x^2+1, \\ y=-2(x^2-3x-0,5)=-2(x^2-2\cdot1,5x+2,25-2,75)=\\=-2(x-1,5)^2+5,5, \\ -2(x-1,5)^2=y-5,5, \\ (x-1,5)^2=2,75-0,5y, \\ x-1,5=\sqrt{2,75-0,5y}, \\ x=\sqrt{2,75-0,5y}+1,5, \\ 2,75-0,5y\geq0, \\ -0,5y\geq-2,75, \\ y\leq5,5, \\ E_y=(-\infty;5,5];
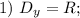
3) \ f'(x)=(6x-2x^2+1)'=6-4x;
4) \ f'(x)=0, \ 6-4x=0, \\ -4x=-6, \\ x=1,5;
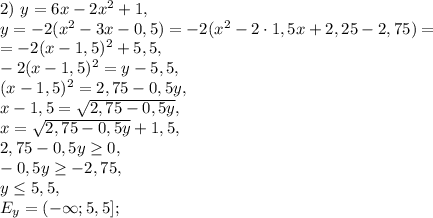
5) \ x\ \textless \ 1,5, \ f'(x)\ \textgreater \ 0, \ f(x)\nearrow, \\ x\ \textgreater \ 1,5, \ f'(x)\ \textless \ 0, \ f(x)\searrow;
6) \ x_{max}=1,5, \\ y_{max}=5,5, \\ (1,5;5,5).

Для функций f(x) найдите: область определения, производную, критические точки, промежутки монотоннос
4,5(54 оценок)
Открыть все ответы
Ответ:
Jfhfbfnxjdbffj
Jfhfbfnxjdbffj
26.02.2021
  4
           I_ _ _ _ 3 I _ _ _ _ _I  3-я разделительная горизонтальная линия
           I_ _ _ _ _ I _ _ _ _ _I  2-ая разделительная горизонтальная линия
           I_ _ _ _ 2 I _ _ _ _ _I  1-ая разделительная горизонтальная линия
        1 I I I
           
Точка 1 в нижнем левом углу, ведёшь первый отрезок из точки 1 в точку 2, которая находится в месте пересечения центральной вертикальной разделительной линией и первой нижней горизонтальной разделительной.
Второй отрезок ведёшь вверх по вертикальной разделительной линии до точки 3, которая находится в месте пересечения центральной разделительной линии и 3-ей горизонтальной линии.
3_ий отрезок ломаной линии ведёшь из точки 3 в точку 4, которая находится в верхнем правом углу квадрата.
У тебя получится ломаная из 3-х отрезков, которая разделит квадрат на две равные фигуры.
4,4(61 оценок)
Ответ:
Kerisha4
Kerisha4
26.02.2021
117=3*3*13 делители1,3,9,13.  117составное число
122=2*61 делители1.2.61. 122составное число
205=5*41 делители1.5.41. 205составное число
219=3*73 делители1.3.73. 219 составное число
393=3*131 делители 1.*.131 393 составное число
422=2*211 делители1.2.211. 422 составное число
535=5*107 делители 1.5.107.  535составное число
927=3*3*103 делители 1.3.103.  927 составное число
17=1*17делители 1.17 .17 простое число
 23=1*23 делители. 23простое число
43=1*43 делители1.23. простое число
67=1*67 делители1.67  67простое число
89=1*89   делители1.89.  89простое число
103=1*103 делители1.103.   103простое число  
 составное число имеет более 2-х делителей
простое число делиться на1 и на самого себя.
4,7(12 оценок)
Это интересно:
Новые ответы от MOGZ: Математика
logo
Вход Регистрация
Что ты хочешь узнать?
Спроси Mozg
Открыть лучший ответ