М
Молодежь
К
Компьютеры-и-электроника
Д
Дом-и-сад
С
Стиль-и-уход-за-собой
П
Праздники-и-традиции
Т
Транспорт
П
Путешествия
С
Семейная-жизнь
Ф
Философия-и-религия
Б
Без категории
М
Мир-работы
Х
Хобби-и-рукоделие
И
Искусство-и-развлечения
В
Взаимоотношения
З
Здоровье
К
Кулинария-и-гостеприимство
Ф
Финансы-и-бизнес
П
Питомцы-и-животные
О
Образование
О
Образование-и-коммуникации
lerachernenko1
lerachernenko1
17.05.2022 09:42 •  Математика

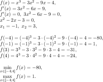
Найдите наибольшее наименьшее значение функции f(x)=x³-3x²-9x-4 на отрезке [-4; 4]

👇
Ответ:
sergiu21
sergiu21
17.05.2022
f(x)=x^3-3x^2-9x-4, \\ f'(x)=3x^2-6x-9, \\ f'(x)=0, \ 3x^2-6x-9=0, \\ x^2-2x-3=0, \\ x_1=-1, \ x_2=3, \\ \\ f(-4)=(-4)^3-3\cdot(-4)^2-9\cdot(-4)-4=-80, \\ f(-1)=(-1)^3-3\cdot(-1)^2-9\cdot(-1)-4=1, \\ f(3)=3^3-3\cdot3^2-9\cdot3-4=-31, \\ f(4)=4^3-3\cdot4^2-9\cdot4-4=-24, \\ \\ \min\limits_{x\in[-4;4]}f(x)=-80, \\ \max\limits_{x\in[-4;4]}f(x)=1.
4,7(9 оценок)
Открыть все ответы
Ответ:
дочь20
дочь20
17.05.2022

3 = 3 · 11

77 = 7 · 11

НОД (33 и 77) = 11 - наибольший общий делитель

33/77 = 3/7 - сократили на 11

- - - - - - - - - - - - - - - - - - - - - - - - - - - - - - - - - - - - - - - - - - - - - - - - -

48 = 2⁴ · 3

64 = 2⁶

НОД (48 и 64) = 2⁴ = 16 - наибольший общий делитель

48/64 = 3/4 - сократили на 16

- - - - - - - - - - - - - - - - - - - - - - - - - - - - - - - - - - - - - - - - - - - - - - - - - -

42 = 2 · 3 · 7

36 = 2 · 3²

НОД (42 и 36) = 2 · 3 = 6 - наибольший общий делитель

42/36 = 7/6 - сократили на 6

- - - - - - - - - - - - - - - - - - - - - - - - - - - - - - - - - - - - - - - - - - - - - - - - - -

56 = 2³ · 7

72 = 2³ · 3²

НОД (56 и 72) = 2³ = 8 - наибольший общий делитель

56/72 = 7/9 - сократили на 8

- - - - - - - - - - - - - - - - - - - - - - - - - - - - - - - - - - - - - - - - - - - - - - - - - -

14 = 2 · 7

21 = 3 · 7

НОД (14 и 21) = 7 - наибольший общий делитель

14/21 = 2/3 - сократили на 7

- - - - - - - - - - - - - - - - - - - - - - - - - - - - - - - - - - - - - - - - - - - - - - - - - -

75 = 3 · 5²

240 = 2⁴ · 3 · 5

НОД (75 и 240) = 3 · 5 = 15 - наибольший общий делитель

75/240 = 5/16 - сократили на 15

Пошаговое объяснение:

4,8(45 оценок)
Ответ:
ElinaN28
ElinaN28
17.05.2022
Бризы — ветры, наблюдаемые на побережье моря или другого большого водоема. Днем они дуют с водной поверхности на сушу, а ночью — с суши на водную поверхность. Ветры, дующие днем с моря на сушу, называются морскими бризами, а ветры, дующие ночью с суши на море, — береговыми бризами. Бризы возникают в результате неравномерного нагре­вания и охлаждения водной поверхности и суши в тече­ние суток. Днем суша прогревается сильнее, чем водная поверхность, поэтому в прибрежной зоне возникает ве­тер, который днем в приземном слое дует с моря на су­шу, а в верхних слоях — с суши на море.
4,4(15 оценок)
Это интересно:
Новые ответы от MOGZ: Математика
logo
Вход Регистрация
Что ты хочешь узнать?
Спроси Mozg
Открыть лучший ответ