М
Молодежь
К
Компьютеры-и-электроника
Д
Дом-и-сад
С
Стиль-и-уход-за-собой
П
Праздники-и-традиции
Т
Транспорт
П
Путешествия
С
Семейная-жизнь
Ф
Философия-и-религия
Б
Без категории
М
Мир-работы
Х
Хобби-и-рукоделие
И
Искусство-и-развлечения
В
Взаимоотношения
З
Здоровье
К
Кулинария-и-гостеприимство
Ф
Финансы-и-бизнес
П
Питомцы-и-животные
О
Образование
О
Образование-и-коммуникации
veronekareshet
veronekareshet
15.08.2022 14:25 •  Математика

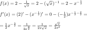
Найти производную функции f(x)=2-1/√x

👇
Ответ:
755Никита7451
755Никита7451
15.08.2022
f(x)=2 - \frac{1}{ \sqrt{x} }=2 - ( \sqrt{x} )^{-1}=2-x^{- \frac{1}{2} } \\ \\ 
f'(x)= (2)' - (x^{- \frac{1}{2} })' = 0 - (- \frac{1}{2} )x^{- \frac{1}{2}- \frac{2}{2} }= \\ \\ 
= \frac{1}{2}x^{- \frac{3}{2} }= \frac{1}{2x^{ \frac{3}{2} }}= \frac{1}{2x \sqrt{x} }= \frac{ \sqrt{x} }{2x^2}
4,6(45 оценок)
Открыть все ответы
Ответ:
Traken
Traken
15.08.2022
От 3 до 51 столько же нечётных чисел, сколько от 2 до 50 – чётных. От 2 до 50 – столько же чётных чисел, сколько всего чисел от 1 до 25. Значит от 3 до 51 – 25 нечётных чисел.

И нам нужно выбрать из них разные числа на 25 вершин 25-угольника. Стало быть, мы должны будем взять все нечётные числа от 3 до 51.

Числа 3—15—5—35—7—21—3 неизбежно образуют замкнутый контур, т.е. шестиугольник, вписанный в исходный 25-угольник.

Выберем произвольное число N, кроме перечисленных, и соответствующую ему точку. Допустим, эта точка N лежит в 25-угольнике между числами 3 и 15.

Проведём лучи N—3 и N—15 (красные). Ясно, что все точки и числа находящиеся НЕ между 3 и 15 окажутся внутри тупого угла между лучами N—3 и N—15. Так же ясно, что любой луч (зелёный), находящийся внутри красного угла, пересечёт отрезок 3–15.

Среди вершин, одна будет подписана числом 45, которое делится и на 3 и на 5.

Если число 45 лежит между вершинами 3 и 15, то тогда оно без проблем (без пересечений) может быть соединено с числом 3, но вот чтобы соединиться с числом 5 – нужно будет провести луч внутри красного угла, а он пересечёт отрезок 3—15 (зелёный луч).

Аналогично можно доказать, что если число 45 лежит между вершинами 5 и 15, то тогда оно без проблем может быть соединено с числом 5, но вот чтобы соединиться с числом 3 – нужно будет провести луч, который пересечёт отрезок 5—15.

Аналогично можно доказать, что если число 45 лежит между любыми другими вершинами, то оно пересечёт какой-то из отрезков шестиугольника 3—15—5—35—7—21—3. Что показано сиреневыми и жёлтыми лучами.

Таким образом: построение заданных отрезков для числа 45, не пересекающих другие, после того, как уже построены отрезки для чисел 3, 15, 5, 35, 7 и 21 – невозможно, т.е. пересечение неизбежно возникнет.

*** Важно понимать, что все проблемы среди предлагаемых чисел создаёт именно число 45, поскольку оно является своеобразным «дублёром» числа 15, ведь и в одном и в другом содержатся тройка и пятёрка в качестве простых множителей, а значит, к этим числам должны быть проведены диагонали и от 3 и от 5.

Если взять нечётные числа от 3 до 43 (всего 21 число), то их совершенно спокойно можно расположить на 21-угольнике по тем же принципам без пересечений. Что показано на втором чертеже.

И даже если взять все нечётные числа от 3 до 51 за исключением 45 (всего 24 числа), то их совершенно спокойно можно расположить на 24-угольнике по тем же принципам без пересечений. Что показано на третьем чертеже.

Вершины выпуклого 25-угольника занумерованы различными нечётными числами от 3 до 51 (номера могут ид
Вершины выпуклого 25-угольника занумерованы различными нечётными числами от 3 до 51 (номера могут ид
Вершины выпуклого 25-угольника занумерованы различными нечётными числами от 3 до 51 (номера могут ид
4,4(48 оценок)
Ответ:
likapak1
likapak1
15.08.2022
4/5*10/11=8/11(5 и 10 сокращаются на 5), 3/7:18/19=3/7*19/18=19/42, 4/45:(12/25-4/15)+15/16*4/15=                                                                                             1)12/25-4/15=16/75                                                                                                      2)4/45*75/16=20/48=5/12                                                                                             3)5/12+15/16=20/48+45/48=65/48(приводишь к общему знаменателю 48)     4)65/48*4/15=13/36
4,4(1 оценок)
Это интересно:
Новые ответы от MOGZ: Математика
logo
Вход Регистрация
Что ты хочешь узнать?
Спроси Mozg
Открыть лучший ответ