М
Молодежь
К
Компьютеры-и-электроника
Д
Дом-и-сад
С
Стиль-и-уход-за-собой
П
Праздники-и-традиции
Т
Транспорт
П
Путешествия
С
Семейная-жизнь
Ф
Философия-и-религия
Б
Без категории
М
Мир-работы
Х
Хобби-и-рукоделие
И
Искусство-и-развлечения
В
Взаимоотношения
З
Здоровье
К
Кулинария-и-гостеприимство
Ф
Финансы-и-бизнес
П
Питомцы-и-животные
О
Образование
О
Образование-и-коммуникации
Tim4ik2281
Tim4ik2281
26.09.2022 05:04 •  Математика

Надо решить систему уравнений {x-y=4 {2x^2-xy=21

👇
Ответ:
maximkap007
maximkap007
26.09.2022
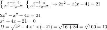
\left \{ {{x-y=4} \atop {2x^2-xy=21}} \right. \; \left \{ {{y=x-4} \atop {2x^2-x(x-4)=21}} \right. \; \left \{ {{y=x-4} \atop {x^2+4x-21=0}} \right. \;

\left \{ {{y_1=-11\; ,\; y_2=-1} \atop {x_1=-7\; ,\; x_2=3}} \right. \\\\Otvet:\quad (-7,-11)\; ,\; (3,-1)\; .
4,7(49 оценок)
Ответ:
ttt123634
ttt123634
26.09.2022
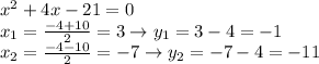
\left\{{{x-y=4,}\atop{2x^2-xy=21}}\right.\left\{{{x-4=y,}\atop{2x^2-xy=21}}\right.\to2x^2-x(x-4)=21\\\\2x^2-x^2+4x=21\\x^2+4x-21=0\\D=\sqrt{4^2-4*1*(-21)}=\sqrt{16+84}=\sqrt{100}=10

Уравнение квадратное, потому и игреков, соответствующих каждому значению икс, тоже будет два. 

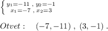
x^2+4x-21=0\\x_1=\frac{-4+10}{2}=3\to y_1=3-4=-1\\x_2=\frac{-4-10}{2}=-7\to y_2=-7-4=-11

ответ: (3; –1)∪(–7; –11)
4,6(52 оценок)
Открыть все ответы
Ответ:
macshsav
macshsav
26.09.2022
Правление Игоря нельзя назвать удачным. Его дружина совершила два опустошительных, но неблагополучных похода в Закавказье. В первом (914) большая часть воинов погибла при возвращении на Русь от хазар и камских болгар, во втором (943) - множество из них умерло от болезней (дизентерия). С 915 г. между Доном и Дунаем стали расселяться пришедшие из Азии печенежские племена, которые постоянно препятствовали русским по пути «из варяг в греки» и совершали опустошительные набеги на славянские племена. В 941 г. Игорь предпринял морской поход на Византию, завершившийся трагично. Ладьи Игоря были сожжены знаменитым «греческим огнем». На греческих кораблях находились глиняные сосуды с горючей смесью (в ее состав входила нефть), которые с метательных орудий забрасывались на русские корабли. 
К чести Игоря, неудача не сломила его: в 944 г. он предпринял новый поход на Византию. Предвидя поражение, греческий император Роман послал навстречу русским войскам лучших бояр со словами: «Не ходи, но возьми дань, какую брал Олег, придам и еще к той дани». В результате между греками и русскими вновь был заключен мирный договор.Зависимость покоренных племен от киевского князя выражалась преимущественно в том, что они платили ему ежегодную дань. Игорь погиб в 945 г. на земле древлян, во время поездки в «полюдье», при попытке собрать с них дополнительную дань. Возмущенные таким поведением князя, древляне пленили Игоря и, привязав к двум нагнутым деревьям, растерзали заживо. 

«Два случая остались укоризной для его памяти: он дал опасным печенегам утвердиться в соседстве с Россиею и, не довольствуясь справедливостью, т.е. умеренною данью народа, ему подвластного, обирал его, как хищный завоеватель». 
4,4(9 оценок)
Ответ:
bolgarevaua
bolgarevaua
26.09.2022
Рашит Шакур
Ахат Вилъданов
Розалия Султангареева
Зилъфат Басыров
Роза Сахаутдинова
Риф Абдуллин
Газим Шафиков
Загир Исмагилов
Азат Магазов
Нурия Ирсаева
Хакимьян Зарипов
Гулъфия Юнусова
Хамматов Яныбай Хамматови
 Рамазан Шагалиев
Гаитбаев Наиль Асхатович 
Ямилъ Абдулъманов
Факилъ Мурзакаев
Рашид Имашев
Сарвар Сурина
Гирфанов Туляк
Ахмет Сулейманов и Нэркэс Хуббутдинова-Сулейманова
Янышев Фанис Фатыхович
Ахан Бекежан Аханович
Янышев Фанис Фатыхович
Асадуллин Раиль Мирваевич
Салихов Ахат Губаевич
Ахмет  Хажмухаметович  Давлеткулов
4,6(45 оценок)
Новые ответы от MOGZ: Математика
logo
Вход Регистрация
Что ты хочешь узнать?
Спроси Mozg
Открыть лучший ответ