М
Молодежь
К
Компьютеры-и-электроника
Д
Дом-и-сад
С
Стиль-и-уход-за-собой
П
Праздники-и-традиции
Т
Транспорт
П
Путешествия
С
Семейная-жизнь
Ф
Философия-и-религия
Б
Без категории
М
Мир-работы
Х
Хобби-и-рукоделие
И
Искусство-и-развлечения
В
Взаимоотношения
З
Здоровье
К
Кулинария-и-гостеприимство
Ф
Финансы-и-бизнес
П
Питомцы-и-животные
О
Образование
О
Образование-и-коммуникации
MrRazor1
MrRazor1
03.05.2020 00:58 •  Математика

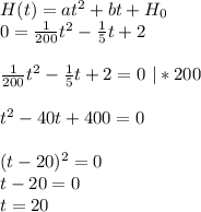
Вбоковой стенке высокого цилиндрического бака у самого дна закреплен кран. после его открытия вода начинает вытекать из бака, при этом высота столба воды в нeм, выраженная в метрах, меняется по закону h (t) = at2 +bt + h0, где h0=2м - начальный уровень воды , 1/200 м/мин 2, и b=-1/5 м/мин - постоянные, t — время в минутах с момента открытия крана.в течение какого времени вода будет вытекать из бака? ответ в минутах.

👇
Ответ:
Lbailieva
Lbailieva
03.05.2020
H (t) - высота столба воды.
вода будет вытекать до тех пор, пока  H(t) - не станет=0
составляем уравнение:
H (t) = at^2 +bt + H_0 \\ 
0= \frac{1}{200} t^2- \frac{1}{5} t+2 \\ \\ \frac{1}{200} t^2- \frac{1}{5} t+2=0\ |*200 \\ \\ t^2-40t+400=0 \\ \\ (t-20)^{2} =0 \\ t-20=0 \\ t=20
ОТВЕТ: В течение 20 мин. вода будет вытекать из бака
4,7(97 оценок)
Открыть все ответы
Ответ:
polli11092002
polli11092002
03.05.2020

Пошаговое объяснение:

1) Область определения: D(y) (-бескон; бескон)

2) Множество значений: E(y) (-бескон; бескон)

3) проверим, является ли функция четной или нечетной:

у (x)=x³-3x²+2

y(-x)=(-x)³-3(-x)²+2=-x³-3x²+2

Так как у (-х) не=-у (х) у (-х) не=у (х) , то функция не является ни четной ни не четная.

4) Найдем нули функции:

у=0; x³-3x²+2 =0

x1=1

x²-2x-2=0

x2=1+корень из3

x3=1-корень из3

График пересекает ось абсциссв точках: (1+корень из3;0) (1;0) (1-корень из3;0)

Ось ординат график функции пересекает в точке (0;2

5) Найдем точки экстремума и промежутки возрастаний и убывания:

y'=3x²-6x; y'=0

3x²-6x=0

3x(x-2)=0

x1=0

x2=2

Так как на промежутках (-бескон; 0) и (2; бесконеч) y'> 0, то на этих промежутках функция возрастатет.

Так как на промежуткe (0;2) y'< 0, то на этих промежутках функция убывает.

Так как при переходе через точку х=2 производная меняет свой знак с - на + то в этой точке функция имеет минимум: у (2 )=8-12+2=-2

Так как при переходе через точку х=0 производная меняет свой знак с + на - то в этой точке функция имеет максимум: у (0 )=2

6) Найдем промежутки выпуклости и точки перегида:

y"=6x-6; y"=0

6x-6=0

x=1

Tак как на промежуткe (-бесконеч; 1) y"< 0, то на этом промежутке график функции направлен выпуклостью вверх

Так как на промежутке (1; бескон) y"> 0, то на этом промежутке график функции направлен выпкулостью вниз.

Точка х=1; является точкой перегиба.

у (1)=1-3+2=0

7) асимптот график данной функции не имеет

8) Все, строй график

4,6(89 оценок)
Ответ:
twinnyXD
twinnyXD
03.05.2020
ответ :29
Не знаю как обосновать, но количество мальчиков можно выбрать любое число, или обозначить за ЕДИНИЦУ.
А можно как BotaNcS прировнять 100%.всех учеников.
Но ни Единица ни 100% не дадут целочисленого количества девочек.
При ЕДИНИЦЕ мальков, девочек должно быть 1,2.
При 100% всех учиников получаем 100/2,2=45,(45) мальчиков
              и 54,(54) девочек.
Минимальное количество мальчиков должно быть 5, что бы девочек то же было целочисленое количество 1,2*5=6.
Общее количество учеников 5+6=11

Тогда мальчики заработали 18*5=90
Если обозначим Х-количество заработанных девочками
(90+Х)/11=24
90+Х=264
Х=174

Средний девочек 174/6=29.
4,7(38 оценок)
Это интересно:
logo
Вход Регистрация
Что ты хочешь узнать?
Спроси Mozg
Открыть лучший ответ