М
Молодежь
К
Компьютеры-и-электроника
Д
Дом-и-сад
С
Стиль-и-уход-за-собой
П
Праздники-и-традиции
Т
Транспорт
П
Путешествия
С
Семейная-жизнь
Ф
Философия-и-религия
Б
Без категории
М
Мир-работы
Х
Хобби-и-рукоделие
И
Искусство-и-развлечения
В
Взаимоотношения
З
Здоровье
К
Кулинария-и-гостеприимство
Ф
Финансы-и-бизнес
П
Питомцы-и-животные
О
Образование
О
Образование-и-коммуникации
kirillmotoin
kirillmotoin
20.06.2021 08:38 •  Математика

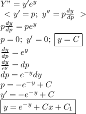
Найти общее решение дифференциального уравнения y"=y'e^y

👇
Ответ:
BoGdAn548965
BoGdAn548965
20.06.2021
Y"=y'e^y \\ \left\ \textless \ y'=p; \ y''=p \frac{dy}{dp} \right\ \textgreater \ \\ p \frac{dy}{dp}=pe^y \\ p=0; \ y'=0; \ \boxed{y=C} \\ \frac{dy}{dp}=e^y \\ \frac{dy}{e^y}=dp \\ dp=e^{-y}dy \\ p=-e^{-y}+C \\ y'=-e^{-y}+C \\ \boxed{y=e^{-y}+Cx+C_1}
4,6(75 оценок)
Открыть все ответы
Ответ:
sergey000910
sergey000910
20.06.2021

24 , 166 . 896551724137931034482 7 586206

Пошаговое объяснение:

14880:620

1240. 24

2480

2480

0

9 6 8 0 0 0 5 8 0 0

5 8 0 0 1 6 6 . 8 9 6 5 5 1 7 2 4 1 3 7 9 3 1 0 3 4 4 8 2 7 5 8 6 2 0 6 5800 × 1 = 5800

- 3 8 8 0 0 9680 - 5800 = 3880

3 4 8 0 0 5800 × 6 = 34800

- 4 0 0 0 0 38800 - 34800 = 4000

3 4 8 0 0 5800 × 6 = 34800

- 5 2 0 0 0 40000 - 34800 = 5200

4 6 4 0 0 5800 × 8 = 46400

- 5 6 0 0 0 52000 - 46400 = 5600

5 2 2 0 0 5800 × 9 = 52200

- 3 8 0 0 0 56000 - 52200 = 3800

3 4 8 0 0 5800 × 6 = 34800

- 3 2 0 0 0 38000 - 34800 = 3200

2 9 0 0 0 5800 × 5 = 29000

- 3 0 0 0 0 32000 - 29000 = 3000

2 9 0 0 0 5800 × 5 = 29000

- 1 0 0 0 0 30000 - 29000 = 1000

5 8 0 0 5800 × 1 = 5800

- 4 2 0 0 0 10000 - 5800 = 4200

4 0 6 0 0 5800 × 7 = 40600

- 1 4 0 0 0 42000 - 40600 = 1400

1 1 6 0 0 5800 × 2 = 11600

- 2 4 0 0 0 14000 - 11600 = 2400

2 3 2 0 0 5800 × 4 = 23200

- 8 0 0 0 24000 - 23200 = 800

5 8 0 0 5800 × 1 = 5800

- 2 2 0 0 0 8000 - 5800 = 2200

1 7 4 0 0 5800 × 3 = 17400

- 4 6 0 0 0 22000 - 17400 = 4600

4 0 6 0 0 5800 × 7 = 40600

- 5 4 0 0 0 46000 - 40600 = 5400

5 2 2 0 0 5800 × 9 = 52200

- 1 8 0 0 0 54000 - 52200 = 1800

1 7 4 0 0 5800 × 3 = 17400

- 6 0 0 0 18000 - 17400 = 600

5 8 0 0 5800 × 1 = 5800

- 2 0 0 0 0 6000 - 5800 = 200

1 7 4 0 0 5800 × 3 = 17400

- 2 6 0 0 0 20000 - 17400 = 2600

2 3 2 0 0 5800 × 4 = 23200

- 2 8 0 0 0 26000 - 23200 = 2800

2 3 2 0 0 5800 × 4 = 23200

- 4 8 0 0 0 28000 - 23200 = 4800

4 6 4 0 0 5800 × 8 = 46400

- 1 6 0 0 0 48000 - 46400 = 1600

1 1 6 0 0 5800 × 2 = 11600

- 4 4 0 0 0 16000 - 11600 = 4400

4 0 6 0 0 5800 × 7 = 40600

- 3 4 0 0 0 44000 - 40600 = 3400

2 9 0 0 0 5800 × 5 = 29000

- 5 0 0 0 0 34000 - 29000 = 5000

4 6 4 0 0 5800 × 8 = 46400

- 3 6 0 0 0 50000 - 46400 = 3600

3 4 8 0 0 5800 × 6 = 34800

- 1 2 0 0 0 36000 - 34800 = 1200

1 1 6 0 0 5800 × 2 = 11600

- 4 0 0 0 0 12000 - 11600 = 400

3 4 8 0 0 5800 × 6 = 34800

5 2 0 0 40000 - 34800 = 5200

4,8(81 оценок)
Ответ:
kappa161
kappa161
20.06.2021

ответ:ответ:

1. 2х + 3х + 5х = 10000

10х = 10000

х = 1000

Первый получит 2000

Второй 3000

Третий 5000

2. 360 - 8%

x - 100%

x = (360*100) / 8

x = 4500

ответ: 4500

florianmanteyw и 3 других пользователей посчитали ответ полезным!

1

4,0

(2 оценки)

Остались вопросы?

НАЙДИ НУЖНЫЙ

ЗАДАЙ ВОПРОС

Новые вопросы в Математика

решить под буквой f​

1)16:4/7 2)1 1/8 : 2 1/12​

24.6. 1) x+y=9, x - Y=1; 2) 3 x+y=1, x+y=5;​

как трахатса​

972 – 372 – 235помги ещё этом без скобок:()​

Ребят надо Вычитание и сложение смешанных дробей

Сторона АВ треугольника АВСравна 8/5/6см, сторона ВС - меньше стороны АВ на : а 3/1/2см, но больше АС на 2/1/4см. Найди периметр треугольника ABC.

Відстань між Києвом й одесою на карті , масштаб якої 1:2000000, дорівнює 22 см. Знайдіть відстань між цими містами на місцевості.​

разложите на множители 1,21z^8-225t^14

Если вы любите Симбочку Пипимбочку решите

Будет 2/3 Это правильно

Упрости выражение 5a−3a\4a(в квадрате) и найди его значение при a=1\300

Сторона АВ треугольника АВСравна 8/5/6см, сторона ВС - меньше стороны АВ на : а 3/1/2см, но больше АС на 2/1/4см. Найди периметр треугольника ABC.

67. 1) - 4y + 10 > 2(1-1) + 24; 3) 7(6-51) - 5 <1-411; 2) 49 - 3(3-22) < 1 - 4 4)-0,5(8x + 9) -0,94x3.​

2+2 Сколько

66. 1) 0,5x + 41,5 < 42; ; 2) 90 - x> 91; 4) 18 6) 30,08<- -1,92 3) +-15<20; 5) 31 – 4 x> 2; 67. 1) -4y + 10 > 2(1-y) + 24; 3) 706 -…

Два велосипеда одновременно из одного пункта в противоположных направлениях со скоростями 10км/ч 12км/ч. 1) На расстоянии друг от друга они будут чер…

мне блимланд математика ​

ПОКАЗАТЬ ЕЩЕ

Предыдущий

Следующий

Зад

Пошаговое объяснение:

4,6(68 оценок)
Это интересно:
Новые ответы от MOGZ: Математика
logo
Вход Регистрация
Что ты хочешь узнать?
Спроси Mozg
Открыть лучший ответ