М
Молодежь
К
Компьютеры-и-электроника
Д
Дом-и-сад
С
Стиль-и-уход-за-собой
П
Праздники-и-традиции
Т
Транспорт
П
Путешествия
С
Семейная-жизнь
Ф
Философия-и-религия
Б
Без категории
М
Мир-работы
Х
Хобби-и-рукоделие
И
Искусство-и-развлечения
В
Взаимоотношения
З
Здоровье
К
Кулинария-и-гостеприимство
Ф
Финансы-и-бизнес
П
Питомцы-и-животные
О
Образование
О
Образование-и-коммуникации
vlad369cool
vlad369cool
28.09.2020 01:39 •  Математика

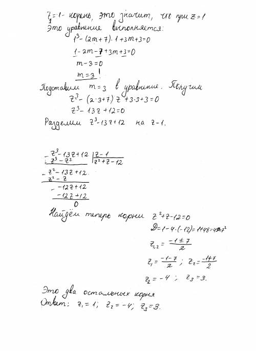
Известно, что один из корней уравнения z^3 − (2m + 7)z + 3m + 3 = 0 равен 1. найдите два других корня

👇
Ответ:
Решение в приложении.

ответ:  z₁=1, z₂= -4, z₃=3.
Известно, что один из корней уравнения z^3 − (2m + 7)z + 3m + 3 = 0 равен 1. найдите два других корн
4,7(81 оценок)
Открыть все ответы
Ответ:
azamatkenzhebai
azamatkenzhebai
28.09.2020
170385   :15                                                                                                               15           11359                                                                                                                                                                                                                                20                                                                                                                             15                                                                                                                                                                                                                                                       53                                                                                                                             45                                                                                                                                                                                                                                                     88                                                                                                                             75                                                                                                                                                                                                                                                 135                                                                                                                           135                                                                                                                                                                                                                                                   0
4,7(23 оценок)
Ответ:
DanilPak2002
DanilPak2002
28.09.2020
Охрана окружающей среды — комплекс мер, предназначенных для ограничения отрицательного влияния человеческой деятельности на природу. Такими мерами могут являться:Ограничение выбросов в атмосферу и гидросферу с целью улучшения общей экологической обстановки.Создание заповедников, национальных парков с целью сохранения природных комплексов.Ограничение ловли рыбы, охоты с целью сохранения определённых видов.Ограничение выброса мусора.На сегодняшний день эта проблема обостряется с каждым днем все сильнее.
4,6(86 оценок)
Это интересно:
Новые ответы от MOGZ: Математика
logo
Вход Регистрация
Что ты хочешь узнать?
Спроси Mozg
Открыть лучший ответ