М
Молодежь
К
Компьютеры-и-электроника
Д
Дом-и-сад
С
Стиль-и-уход-за-собой
П
Праздники-и-традиции
Т
Транспорт
П
Путешествия
С
Семейная-жизнь
Ф
Философия-и-религия
Б
Без категории
М
Мир-работы
Х
Хобби-и-рукоделие
И
Искусство-и-развлечения
В
Взаимоотношения
З
Здоровье
К
Кулинария-и-гостеприимство
Ф
Финансы-и-бизнес
П
Питомцы-и-животные
О
Образование
О
Образование-и-коммуникации
BountyMars
BountyMars
17.08.2021 11:31 •  Математика

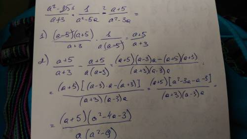
A^2-25 1 a+5 дробная черта * дробная черта - дробная черта a+3 a^2-5a a^2-3a

👇
Ответ:
trybak03
trybak03
17.08.2021
................................
A^2-25 1 a+5 дробная черта * дробная черта - дробная черта a+3 a^2-5a a^2-3a
4,7(3 оценок)
Открыть все ответы
Ответ:
resssnizisss
resssnizisss
17.08.2021

Капиллярное кровотечение возникает вследствие повреждения мельчайших кровеносных сосудов (капилляров) при обширных ссадинах, поверхностных ранах. Кровь вытекает медленно, по каплям, и, если свертываемость её нормальная, кровотечение прекращается самостоятельно.

Признаки:
-Медленное истечение крови со всей поверхности раны — показатель капиллярного кровотечения. При всей кажущейся безобидности такой раны, остановка такого кровотечения представляет большие трудности, если больной страдает плохой свертываемостью крови (гемофилией).

при капиллярных кровотечениях:
 -Наложение давящей повязки. Если в Вашей аптечке есть гемостатическая губка, её следует наложить на рану, после чего сделать давящую повязку. Если такой губки нет, то на рану накладывают несколько слоев марлевых салфеток, которые фиксируют давящей повязкой. В любом случае, если рана находится на конечности, ей следует придать возвышенное положение и обеспечить покой и холод (пузырь со льдом).

4,4(43 оценок)
Ответ:
овшаь
овшаь
17.08.2021

Дифференциальные уравнения (ДУ). Эти два слова обычно приводят в ужас среднестатистического обывателя. Дифференциальные уравнения кажутся чем-то запредельным и трудным в освоении и многим студентам. … дифференциальные уравнения, как бы мне всё это пережить?!

Такое мнение и такой настрой в корне неверен, потому что на самом деле ДИФФЕРЕНЦИАЛЬНЫЕ УРАВНЕНИЯ – ЭТО ПРОСТО И ДАЖЕ УВЛЕКАТЕЛЬНО. Что нужно знать и уметь, для того чтобы научиться решать дифференциальные уравнения? Для успешного изучения диффуров вы должны хорошо уметь интегрировать и дифференцировать. Чем качественнее изучены темы Производная функции одной переменной и Неопределенный интеграл, тем будет легче разобраться в дифференциальных уравнениях. Скажу больше, если у вас более или менее приличные навыки интегрирования, то тема практически освоена! Чем больше интегралов различных типов вы умеете решать – тем лучше. Почему? Придётся много интегрировать. И дифференцировать. Также настоятельно рекомендую научиться находить производную от функции, заданной неявн

Пошаговое объяснение:

Я лишь обеснила как это решать и всё.

4,5(99 оценок)
Это интересно:
Новые ответы от MOGZ: Математика
Полный доступ к MOGZ
Живи умнее Безлимитный доступ к MOGZ Оформи подписку
logo
Вход Регистрация
Что ты хочешь узнать?
Спроси Mozg
Открыть лучший ответ