Вход
Регистрация
Спроси Mozg AI
М
Молодежь
К
Компьютеры-и-электроника
Д
Дом-и-сад
С
Стиль-и-уход-за-собой
П
Праздники-и-традиции
Т
Транспорт
П
Путешествия
С
Семейная-жизнь
Ф
Философия-и-религия
Б
Без категории
М
Мир-работы
Х
Хобби-и-рукоделие
И
Искусство-и-развлечения
В
Взаимоотношения
З
Здоровье
К
Кулинария-и-гостеприимство
Ф
Финансы-и-бизнес
П
Питомцы-и-животные
О
Образование
О
Образование-и-коммуникации
.....больше.....
..меньше..
Еккуш63шшк83оагш7гв
29.02.2020 06:06 •
Математика
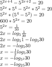
5^2x+4 - 5^2x+2= 20 не могу решить, уже все перепробовал
👇
Увидеть ответ
Ответ:
BMOPLAY23
29.02.2020
Если 2х + 4 и 2х + 2 - показатели степени, то всё просто.
Такой вот корень. В принципе никто и не говорил, что он должен быть рациональным)
4,5
(98 оценок)
Ответ:
sking09
29.02.2020
4,8
(80 оценок)
Открыть все ответы
Ответ:
romaberduk03
29.02.2020
3+х+2*6 16х=19200 х=1200-котенок х=1200*6 ответ:7200 рублей попугай
4,7
(15 оценок)
Ответ:
People100
29.02.2020
3+х+2*6 16х=19200 х=1200-котенок х=1200*6 ответ:7200 рублей попугай
4,8
(48 оценок)
Это интересно:
К
Кулинария-и-гостеприимство
21.02.2023
Секреты приготовления вкусного соуса для макарон...
О
Образование-и-коммуникации
01.01.2022
Как найти площадь прямоугольника: простое объяснение и формула...
К
Кулинария-и-гостеприимство
14.02.2022
Как приготовить кислое молоко: правила и рекомендации...
К
Компьютеры-и-электроника
27.12.2021
Гид по активации звонков по беспроводной сети на Galaxy...
К
Компьютеры-и-электроника
21.05.2022
Как улучшить качество изображения формата jpg...
С
Стиль-и-уход-за-собой
06.03.2022
Как сделать кондиционер для волос: легкий способ для блестящих и здоровых волос...
К
Компьютеры-и-электроника
06.04.2023
Как провести телевизионный кабель сквозь межстеновые пустоты с чердака или из подвала...
М
Мир-работы
10.01.2023
Как создать успешное видео резюме...
К
Компьютеры-и-электроника
23.06.2020
Как скачать видео с YouTube в мобильном браузере Opera Mini: подробный гайд...
З
Здоровье
15.06.2022
Как избежать сухости глаз от компьютера...
Новые ответы от MOGZ: Математика
Skuzairov
07.10.2021
Во время экскурсии в один автобус сели 48 человек , а в другой - на 6 человек меньше . сколько человек должны перейти из первого автобуса во второй , чтобы в них пассажиров...
simeika98p0c45h
07.10.2021
Вянваре израсходовали 48 тонн угля,а в феврале 55,2 тонны.на сколько процентов возрос расход угля в феврале по сравнению с январём?...
katyaadushkina3006
07.10.2021
Прочитайте в хрестоматии рассказ и.с.тургенева бежин луг ответьте на вопросы и выполните...
ЭймиКаннет
07.10.2021
Что изображается на работах бытового жанра...
PavelOlga
07.10.2021
Папа и леня делают цветник квадратной формы. папа сказал...
Dmitry81
07.10.2021
Подскажите сколько будет 2(266х+345х)...
muradyanarutyun
07.10.2021
Вряду чисел от 40 до 100 миша и катя выбирали все числа в которых число десятков на 3 меньше числа единиц миша получил 3 числа катя 2 сколько чисел получилось у тебя запиши...
mehriban2004
07.10.2021
Начерти любой тупоугольный треугольник, у которого обна сторона имеет длину 6 см и 3 мм , а другая- 3см и 6 мм....
SofaBai
07.10.2021
71\3+(-1 2\3) = с полным ответом и что бы было расписано...
Lisa18811
07.10.2021
А) 48²-31²= б)8×9²= в) (6³-8²): 38= г) 15³-73×5 =...
MOGZ ответил
1001,100,21,14,... Keyingi Hadi nima boladi?...
Расскажите о Москве на английском языке. Сообщите информацию о: 1. Основатель...
Упрастите выражения: (4x-a)(4x+a)+2x(x-a) 2a(a+b)-(2a+b)(2a-b) Найдите...
Відповідь тіп обґрунтувати,ну як обичну задачу робимо так само нада,...
Установи, какие из суждений верны. А.Исходная единица систематиеи организмов-популяция...
3. Берілген мақал-мәтелдердің қайсысы мәтін тақырыбына сәйкес келеді?...
Составить 5 типов во по английскому к предложению: Great Britain has...
1) К сумме смежных углов прибавить 20 и умножить полученное число на...
Коля задумал 3 числа. Первое число равно 2,3; второе число на 7,9 больше...
Очем Пушкинский пролог Руслан и Людмила ...
Полный доступ к MOGZ
Живи умнее Безлимитный доступ к MOGZ
Оформи подписку
О НАС
О нас
Блог
Условия пользования
Авторское право
Политика конфиденциальности
Предпочтения cookie-файлов
ПОМОЩЬ
Зарегистрируйся
Центр помощи
Центр безопасности
App
Вход
Регистрация
Что ты хочешь узнать?
Спроси Mozg
Открыть лучший ответ
Такой вот корень. В принципе никто и не говорил, что он должен быть рациональным)