М
Молодежь
К
Компьютеры-и-электроника
Д
Дом-и-сад
С
Стиль-и-уход-за-собой
П
Праздники-и-традиции
Т
Транспорт
П
Путешествия
С
Семейная-жизнь
Ф
Философия-и-религия
Б
Без категории
М
Мир-работы
Х
Хобби-и-рукоделие
И
Искусство-и-развлечения
В
Взаимоотношения
З
Здоровье
К
Кулинария-и-гостеприимство
Ф
Финансы-и-бизнес
П
Питомцы-и-животные
О
Образование
О
Образование-и-коммуникации
Оарп
Оарп
12.09.2020 02:16 •  Математика

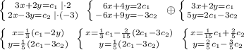
Пара значений переменных является решением системы уравнений. найдите с1 и с2 3х+2у=с1 2х-3у=с2 если не трудно с объяснением

👇
Ответ:
Евабе
Евабе
12.09.2020
\left \{ {{3x+2y=c_1\; |\cdot 2} \atop {2x-3y=c_2\; |\cdot (-3)}} \right. \; \left \{ {{6x+4y=2c_1} \atop {-6x+9y=-3c_2}} \right. \; \oplus \left \{ {{3x+2y=c_1} \atop {5y=2c_1-3c_2}} \right. \\\\ \left \{ {{x=\frac{1}{3}(c_1-2y)} \atop {y=\frac{1}{5}(2c_1-3c_2)}} \right. \; \left \{ {{x=\frac{1}{3}c_1-\frac{2}{15}(2c_1-3c_2)} \atop {y=\frac{1}{5}(2c_1-3c_2)}} \right. \; \left \{ {{x=\frac{1}{15}c_1+\frac{2}{5}c_2} \atop {y=\frac{2}{5}c_1-\frac{3}{5}c_2}} \right.
4,7(32 оценок)
Открыть все ответы
Ответ:
Мусор228
Мусор228
12.09.2020

Лучше всего изобретательность Тома Сойера, героя произведения Марка Твена, проявляется в эпизоде, когда его заставляют белить забор. Тому очень не хочется этого делать, но выхода нет и тогда он придумывает замечательную вещь - делает вид, что красить забор занятие необычайно увлекательное и ни за что на свете он не променял бы его на что-то другое. В итоге все мальчишки города загораются желанием во чтобы то ни стало покрасить Томов забор. За это они готовы отдать Тому последнее сокровище и тот быстро становится богачом серди местной детворы.

Пошаговое объяснение:

4,5(100 оценок)
Ответ:
Danila5555
Danila5555
12.09.2020

1-4с

Пошаговое объяснение: c(c-2)(c+2)-(c-1)(c^2+c+1)

c-2 и c+2 перемножаются и получается c^2-4. Это умножаем на c и получаем c^3-4c.

c^3-4c-(c-1)(c^2+c+1). Мы можем свернуть по формуле (c^2+c+1) в (c+1)^2, после чего умножим на (c-1) и получим (c-1)(c+1)^2=(c-1)(c+1)(c+1)=(c^2-1)(c+1)=

(c^3-c+c^2-1). Поставим в наше уравнение. Получаем: c^3-4c-c^3-c+c^2-1

c^3 и -c^3 в сумме дают 0, поэтому их убираем: -4c-c+c^2-1=-5c+c^2-1.

Надеюсь, что не ошибся.

Изменено: Ошибся. Не могу удалить ответ, поэтому, просто проигнорируй.

Изменено2: Правильный ответ: 1-4с. Расписать не могу прощения.

4,5(99 оценок)
Это интересно:
Новые ответы от MOGZ: Математика
logo
Вход Регистрация
Что ты хочешь узнать?
Спроси Mozg
Открыть лучший ответ