М
Молодежь
К
Компьютеры-и-электроника
Д
Дом-и-сад
С
Стиль-и-уход-за-собой
П
Праздники-и-традиции
Т
Транспорт
П
Путешествия
С
Семейная-жизнь
Ф
Философия-и-религия
Б
Без категории
М
Мир-работы
Х
Хобби-и-рукоделие
И
Искусство-и-развлечения
В
Взаимоотношения
З
Здоровье
К
Кулинария-и-гостеприимство
Ф
Финансы-и-бизнес
П
Питомцы-и-животные
О
Образование
О
Образование-и-коммуникации
drdnsv
drdnsv
28.03.2023 05:04 •  Математика

:подберите такую несократимую дробь p/q для которой верно равенство: . p/q×(-3/8)×4/7×(-5/6)×6/5×(-7/4)= -1

👇
Ответ:
Юля5454554
Юля5454554
28.03.2023
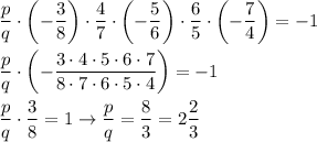
\displaystyle \frac{p}{q}\cdot\left( -\frac{3}{8}\right)\cdot\frac{4}{7}\cdot\left( -\frac{5}{6}\right)\cdot\frac{6}{5}\cdot\left( -\frac{7}{4}\right)=-1 \\ \\ 
\frac{p}{q}\cdot\left( -\frac{3\cdot4\cdot5\cdot6\cdot7}{8\cdot7\cdot6\cdot5\cdot4}\right)=-1 \\ \\
\frac{p}{q}\cdot\frac{3}{8}=1 \to \frac{p}{q}=\frac{8}{3}=2\frac{2}{3}
4,6(75 оценок)
Открыть все ответы
Ответ:
7LoLiTa7
7LoLiTa7
28.03.2023

Пошаговое объяснение:

Ты продал меня прямо по реке

You sold me right up the river

Ты должен был удержать меня

You had to hold me back

Вы могли бы искать солнечный свет, да

You could've looked for the sunshine, yeah

Но вам пришлось все это покрасить в черный цвет

But you had to paint the whole thing black

Теперь я вернулся в город

Now I'm back in the city

На мне горит свет

The lights are up on me

Они пытались держать меня взаперти

They tried to keep me locked away

Но аллилуйя, я чувствую себя свободным

But hallelujah I feel free

Вся твоя тьма вернулась к тебе вовремя

All your darkness has come back to you in time

Приготовьтесь, мир, он собирается взорвать ваш разум

Brace yourself world, it's about to blow your mind

Это приближается, как ударная волна, эй

It's coming round like a shockwave, hey

Это приближается, как ударная волна, эй

It's coming round like a shockwave, hey

Вы играли в игру слишком много раз

You've played the game one too many times

Ты будешь гореть, пока не будешь вести себя хорошо, эй

You're gonna burn until you behave, hey

Может стыд откроет тебе глаза

Maybe the shame will open your eyes

Это приближается, как ударная волна

It's coming round like a shockwave

Ты сделал свою кровать красивой

You made your bed all pretty

Что посеешь, то и пожнешь

You reap what you sow

Убил всех своих друзей

Backstabbed all your friends

И да, все дело в том, кого вы знаете

And yes it's all about who you know

Так что не смей смотреть в мою сторону

So don't you dare look my way

Чтобы заставить тебя плакать

To try to make you cry

Мне не нужно ничего делать для тебя

I don't have to do a thing for you

Потому что это исходит из звездного неба

'Cause it's coming from the starry sky

Вся твоя тьма вернулась к тебе вовремя

All your darkness has come back to you in time

Приготовьтесь, мир, он собирается взорвать ваш разум

Brace yourself world, it's about to blow your mind

Это приближается, как ударная волна, эй

It's coming round like a shockwave, hey

Это приближается, как ударная волна, эй

It's coming round like a shockwave, hey

Вы играли в игру слишком много раз

You've played the game one too many times

Ты будешь гореть, пока не будешь вести себя хорошо, эй

You're gonna burn until you behave, hey

Может стыд откроет тебе глаза

Maybe the shame will open your eyes

Это приближается, как ударная волна, эй

It's coming round like a shockwave, hey

Ты змея, ты ласка

You're a snake, you're a weasel

Ты головастик в море

You're a tadpole in the sea

И боль, которую ты чувствуешь

And the pain you feel

Омывает меня

Is washing over me

Это приближается, как ударная волна, эй

It's coming round like a shockwave, hey

Это приближается, как ударная волна, эй

It's coming round like a shockwave, hey

Вы играли в игру слишком много раз

You've played to the game one too many times

Ты будешь гореть, пока не будешь вести себя хорошо, эй

You're gonna burn until you behave, hey

Может стыд откроет тебе глаза

Maybe the shame will open your eyes

Может стыд откроет тебе глаза

Maybe the shame will open your eyes

Может стыд откроет тебе глаза

Maybe the shame will open your eyes

Это приближается, как ударная волна

It's coming round like a shockwave

4,5(30 оценок)
Ответ:
zombovizor
zombovizor
28.03.2023

Вспомним:

Площадь (S) прямоугольника равна произведению её длины на ширину.

Периметр (Р) прямоугольника равен сумме его длины и ширины умноженную на 2.

1) 126 дм ÷ 14 дм = 9 (дм) - ширина стола.

2) (9 + 14) × 2 = 23 × 3 = 43 (дм) - периметр стола.

ответ: 9 дм - ширина стола, 43 дм - периметр стола.

Условие:

Найдите ширину комнаты прямоугольной формы, если её площадь - 18 м², а длина - 6 м. Вычислите периметр этой комнаты.

1) 18 м ÷ 6 м = 3 (м) - ширина комнаты.

2) (3 + 6) × 2 = 9 × 2 = 18 (м) - периметр комнаты.

ответ: 3 м - ширина комнаты, 18 м  - периметр комнаты.

4,8(90 оценок)
Новые ответы от MOGZ: Математика
logo
Вход Регистрация
Что ты хочешь узнать?
Спроси Mozg
Открыть лучший ответ