М
Молодежь
К
Компьютеры-и-электроника
Д
Дом-и-сад
С
Стиль-и-уход-за-собой
П
Праздники-и-традиции
Т
Транспорт
П
Путешествия
С
Семейная-жизнь
Ф
Философия-и-религия
Б
Без категории
М
Мир-работы
Х
Хобби-и-рукоделие
И
Искусство-и-развлечения
В
Взаимоотношения
З
Здоровье
К
Кулинария-и-гостеприимство
Ф
Финансы-и-бизнес
П
Питомцы-и-животные
О
Образование
О
Образование-и-коммуникации
luhxor
luhxor
19.05.2022 21:03 •  Математика

5/6-7/15: 1/4x-3/5=1/2 реши уравнение

👇
Ответ:
timofeyfrol
timofeyfrol
19.05.2022
5/6 - 7/15 : 1/4 x - 3/5 = 1/2
- 7/15 : 1/4 x = 1/2 - 5/6 + 3/5
1/4 x = - 7/15 : (15/30 - 25/30 + 18/30)
1/4 x = - 7/15 * 30/8
1/4 x = - 14/8
       x = - 14/8 * 4
       x = - 7

Вот второй вариант.

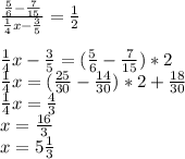
\frac{ \frac{5}{6}- \frac{7}{15} }{ \frac{1}{4}x- \frac{3}{5}}= \frac{1}{2} \\ \\ \frac{1}{4}x- \frac{3}{5}=( \frac{5}{6}- \frac{7}{15})*2 \\ \frac{1}{4}x=( \frac{25}{30}- \frac{14}{30})*2+ \frac{18}{30} \\ \frac{1}{4}x= \frac{4}{3} \\ x= \frac{16}{3} \\ x=5 \frac{1}{3}
4,5(6 оценок)
Открыть все ответы
Ответ:
MaliaM
MaliaM
19.05.2022

Пошаговое объяснение:

В треугольнике АВС, ВК - биссектриса угла В(Угол КВС=Угол АВК). Т.к синус угла А равен 0.5, угол А равен 30 градусов( в интернете есть куча таблиц).

Т.к угол А равен 30 градусов, угол В равен 60 градусов (сумма острых углов в прямоугольном треугольнике 90 градусов!) и углы КВС и АВК равны 30 градусам.В треугольнике КВС, т.к КС лежит против угла 30 градусов, она равна половине гипотенузы(ВК)=2 корня из 3.В данном треугольнике по теореме Пифагора находим, что ВС = 6 см.В треугольнике АВС, синус А=0.5, синус А = ВС/АВ=6/АВ. 6/АВ=0.5 АВ = 12 см.

4,7(86 оценок)
Ответ:

Пошаговое объяснение:

Расстояние между городами 584 км.

Направление движения: на встречу друг другу.

Выехали из двух городов одновременно.

Скорость грузового автомобиля на 16 км/ч больше автобуса.

Время движения 4 ч.

Определить скорость грузового автомобиля  и автобуса.

Пусть скорость автобуса равна х км/ч, тогда скорость грузового автомобиля будет (х + 16) км/ч.

Расстояние, на которое сближаются грузовой автомобиль, и автобус за единицу времени, называют скоростью сближения vсб.

В случае движения грузового автомобиля и автобуса навстречу друг другу, скоростью сближения равно: vсб  = v1 + v2

Если начальная расстояние S между грузовым автомобилем и автобусом равна 584 километров и они встретились через tвст = 4 ч, то S = vсб * tвст  = (v1 + v2) * tвст

Составим уравнение:

(х + (х + 16)) * 4 = 584

(2х + 16) * 4 = 584

8х + 64 = 584

8х = 584 – 64

8х = 520

х = 520 : 8

х = 65

Скорость автобуса равно 65 км/ч.

Скорость грузового автомобиля равно 65 + 16 = 81 км/ч.

ответ: скорость автобуса —  65 км/ч; скорость грузовой машины — 81 км/ч.

4,7(60 оценок)
Это интересно:
Новые ответы от MOGZ: Математика
logo
Вход Регистрация
Что ты хочешь узнать?
Спроси Mozg
Открыть лучший ответ