М
Молодежь
К
Компьютеры-и-электроника
Д
Дом-и-сад
С
Стиль-и-уход-за-собой
П
Праздники-и-традиции
Т
Транспорт
П
Путешествия
С
Семейная-жизнь
Ф
Философия-и-религия
Б
Без категории
М
Мир-работы
Х
Хобби-и-рукоделие
И
Искусство-и-развлечения
В
Взаимоотношения
З
Здоровье
К
Кулинария-и-гостеприимство
Ф
Финансы-и-бизнес
П
Питомцы-и-животные
О
Образование
О
Образование-и-коммуникации
Grebeshe
Grebeshe
23.03.2020 03:43 •  Математика

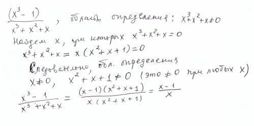
Найти область определения и сократить 1. (4a-16)/(a-4) 2. (x^3-1)/(x^3+x^2+x)

👇
Ответ:
Maximus20000
Maximus20000
23.03.2020
1) Область определения a-4≠0 ⇒ a≠4.
  (4a-16)/(a-4)= 4(a-4)/(a-4)=4.
2) решение во вложенном файле
Найти область определения и сократить 1. (4a-16)/(a-4) 2. (x^3-1)/(x^3+x^2+x)
4,8(14 оценок)
Открыть все ответы
Ответ:
69Unicorn69
69Unicorn69
23.03.2020
Jeder Mensch hat sein Hobby. Der eine sammelt Briefmarken, der andere ist ein leidenschaftlicher Angler. Einige sind scharf auf Tiere. Ich für meinen Teil, bin ein Bücherfreund. In unserer Familie haben wir alle die gleiche Lieblingsbeschäftigung ; das ist eine Vorliebe fur Bücherlesen.  Als ich noch Kind war, hatte ich ein kleines Regal für unsere Bildbücher. Und dieses Regal wurde immer grösser und grösser. Die Bücher wurden bei uns nicht nur gesammelt, sondern auch gelesen. In der Kindheit las ich besonders gern Abenteuerbücher.  Mit 11 Jahren begann ich ernste Bücher zu lesen, die Bücher aus der Bibliothek meines Vaters. Das waren die Bücher von Dickens, Dumas, Zola, Tolstoi u.a. Wie spannend war da die Welt geschildert. Ich las vom frühen Morgen bis spät in die Nacht hinein. Ich las beim Essen und auch im Bett. Meine Eltern erklärten mir, dass ich es falsch machte.  Und ich begann die Bücher richtig zu lesen : langsam in Ruhe. " Auch das Lesen will gelernt sein " hat einmal Becher gesagt. Ich lese jetzt jede Seite und mache mir Gedanken über die Helden.  Natürlich bin ich in der Bibliothek abonniert. Ich habe viele Lieblingsschriftsteller.  Das sind Tschechow, Tolstoi, Pasternak, Jewtuschenko, Zwetajewa und viele andere. Bücher bleiben für mich immer Quelle der Erkenntnis und Erfahrung.

У каждого человека есть свое хобби . Один собирает марки , другой - это страстный рыболов. Некоторые из них заинтересованы в животных. Я, например , являюсь любитель книг . В нашей семье , у всех нас есть одно и то же любимое занятие , это пристрастие к  чтению книг . Когда я еще была  ребенком, у меня была маленькая полка для наших иллюстрированных книг. И эта полка увеличивалась  все больше и больше . Книги были не только собраны нами , но и читались . В детстве я особенно охотно  читала  приключенческие книги . В возрасте 11 лет , я начала  читать серьезные книги , книги из библиотеки отца. Это были книги Диккенса, Дюма , Золя , Толстого, и другие.  Как увлекательно там мир  был изображен..  Я читала с раннего утра до поздней ночи. . Я читала во время еды, а также в кровати. Мои родители объясняли мне, что я делаю это не правильно. И я начала правильно  читать  книги: медленно в состоянии покоя.  " Даже чтение, хочет быть квалифицированно " однажды сказал Бехер . Я сейчас читаю каждую страницу и мыслю о героях . Конечно,  я подписалась  в библиотеке. У меня есть много любимых писателей. Это Чехов, Толстой , Пастернак , Евтушенко , Цветаева и многие другие. Книги остаются для меня всегда источником познания и опыта.
4,6(92 оценок)
Ответ:
asdx1984
asdx1984
23.03.2020
Не используется цифра 3
если не испульзуются 0,8,9, следовательно остаётся 1,2,3,4,5,6,7, но так как по условию складываются два двузначных числа, и результате получается трёхзначное, с единицей в разряде сотен.
т.к. по условию в ответе первая цифра такая же как и последняя, следовательно и там и там д.б. цифра "1".
далее -смотрим  при сложении каких цифр получается "..1" - это м.б. 7+4 или 5+6, т.е. (е+г) с переходом в десятки, ну и в случае с (к+г) тоже самое.
в итоге получаем: 75+46=121.
ответ: в данном примере не используется ещё цифра 3.
4,6(68 оценок)
Новые ответы от MOGZ: Математика
logo
Вход Регистрация
Что ты хочешь узнать?
Спроси Mozg
Открыть лучший ответ