М
Молодежь
К
Компьютеры-и-электроника
Д
Дом-и-сад
С
Стиль-и-уход-за-собой
П
Праздники-и-традиции
Т
Транспорт
П
Путешествия
С
Семейная-жизнь
Ф
Философия-и-религия
Б
Без категории
М
Мир-работы
Х
Хобби-и-рукоделие
И
Искусство-и-развлечения
В
Взаимоотношения
З
Здоровье
К
Кулинария-и-гостеприимство
Ф
Финансы-и-бизнес
П
Питомцы-и-животные
О
Образование
О
Образование-и-коммуникации
bolll4
bolll4
07.08.2020 20:24 •  Математика

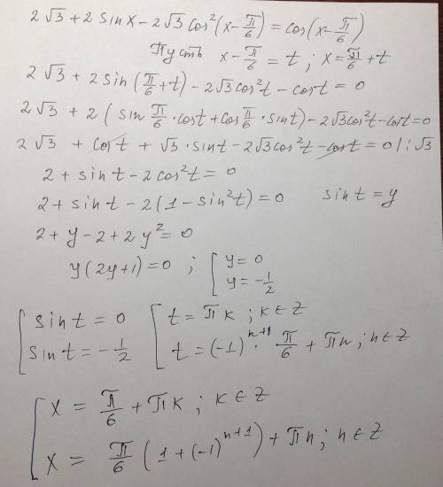
Решить уравнение: 2\sqrt{3}+2\sin{x}-2\sqrt{3}\cos^2{(x-\frac{\pi}{6})}=\cos{(x-\frac{\pi}{6})} p.s. уже попробовал всё, что можно с ним сделать, не выходит никак преобразовать

👇
Ответ:
Nikitka113532
Nikitka113532
07.08.2020

2\sqrt{3}+2\sin x -2\sqrt{3}\cos^{2}(x-\frac{\pi}{6})=\cos(x-\frac{\pi}{6}) \Leftrightarrow 2\sqrt{3}\sin^{2}(x-\frac{\pi}{6})+2\sin x = \frac{\sqrt{3}}{2}\cos x + \frac{1}{2}\sin x;

Из этого следует: 2\sqrt{3}\sin^{2}(x-\frac{\pi}{6}) +\frac{3}{2}\sin x - \frac{\sqrt{3}}{2}\cos x =0 \Leftrightarrow 2\sqrt{3}\sin^{2}(x-\frac{\pi}{6})+\sqrt{3}\sin(x-\frac{\pi}{6})=0 \Leftrightarrow \sqrt{3}\sin (x-\frac{\pi}{6})(2\sin(x-\frac{\pi}{6})+1)=0;

Отсюда x-\frac{\pi}{6} = \pi k, k\in \mathbb{Z} \Leftrightarrow x=\pi k+\frac{\pi}{6}, k\in \mathbb{Z};

или

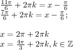
\frac{11\pi}{6}+2\pi k = x-\frac{\pi}{6}\\ \frac{7\pi}{6}+2\pi k = x- \frac{\pi}{6};\\\\x=2\pi +2\pi k\\x=\frac{4\pi}{3}+2\pi k , k\in \mathbb{Z}

4,5(26 оценок)
Ответ:
оьмдды
оьмдды
07.08.2020

Пошаговое объяснение:    


Решить уравнение: [tex]2\sqrt{3}+2\sin{x}-2\sqrt{3}\cos^2{(x-\frac{\pi}{6})}=\cos{(x-\frac{\pi}{6})}
4,7(80 оценок)
Открыть все ответы
Ответ:
Егор4002
Егор4002
07.08.2020

2,1 корма

Пошаговое объяснение:

Для удобства вычисления переведем вес сухого корма из килограммов в граммы:

3 * 1000 = 3000 (г).

Определяем количество корма, съеденного кошкой за первую неделю:

3000 * 1/6 = 500 (г).

Определяем количество корма, которое осталось через одну неделю:

3000 - 500 г = 2500 (г).

Определяем количество корма, съеденного кошкой за вторую неделю:

2500 * 4/25 = 400 (г). 

Определяем, сколько корма было съедено кошкой за две недели:

500 + 400 = 900 (г).

Определяем количество оставшегося корма:

3000 - 900 = 2100 (г).

Переведем в килограммы:

2100 : 1000 = 2,1 (кг).

ответ: Осталось еще 2,1 кг корма. 

4,4(30 оценок)
Ответ:

4 208/305 дня

Пошаговое объяснение:

За единицу примем работу.

1/x- производительность 1-го тракториста.

1/y - производительность 2-го тракториста.

1/z -производительность 3-го тракториста.

1/(x+y+z) - производительность трех трактористов.

1/x=12; x=1/12 - часть вспаханного поля 1-м трактористом за 1 день.

1/y=14; y=1/14 - часть вспаханного поля 2-м трактористом за 1 день.

1/z=17; z=1/17 - часть вспаханного поля 3-м трактористом за 1 день.

1/(1/12 +1/14 +1/17)=1/((119+102+84)/1428)=1/(305/1428)=1428/305=4 208/305 дня понадобится трем трактористам вспахать всё поле.

4,4(90 оценок)
Это интересно:
Новые ответы от MOGZ: Математика
logo
Вход Регистрация
Что ты хочешь узнать?
Спроси Mozg
Открыть лучший ответ