М
Молодежь
К
Компьютеры-и-электроника
Д
Дом-и-сад
С
Стиль-и-уход-за-собой
П
Праздники-и-традиции
Т
Транспорт
П
Путешествия
С
Семейная-жизнь
Ф
Философия-и-религия
Б
Без категории
М
Мир-работы
Х
Хобби-и-рукоделие
И
Искусство-и-развлечения
В
Взаимоотношения
З
Здоровье
К
Кулинария-и-гостеприимство
Ф
Финансы-и-бизнес
П
Питомцы-и-животные
О
Образование
О
Образование-и-коммуникации
Препод007
Препод007
12.12.2021 01:01 •  Математика

Найти наибольший корень уравнения .

👇
Ответ:
Nukaka9l
Nukaka9l
12.12.2021
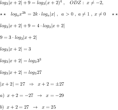
log_3|x+2|+9=log_3(x+2)^4\; ,\; \; \; ODZ:\; x\ne -2,\\\\\star \star \quad log_{a}{x^{2k}}=2k\cdot log_{a}|x|\; ,\; \; a\ \textgreater \ 0\; ,\; a\ne 1\; ,\; x\ne 0\quad \star \star \\\\log_3|x+2|+9=4\cdot log_3|x+2|\\\\9=3\cdot log_3|x+2|\\\\log_3|x+2|=3\\\\log_3|x+2|=log_33^3\\\\log_3|x+2|=log_327\\\\|x+2|=27\; \; \Rightarrow \; \; x+2=\pm 27\\\\a)\; \; x+2=-27\; \; \to \; \; x=-29\\\\b)\; \; x+2=27\; \; \to \; \; x=25

Наибольший корень уравнения:  х=25 .
4,6(87 оценок)
Открыть все ответы
Ответ:
loto0192
loto0192
12.12.2021

Відповідь:

За умови, що телевізор працюватиме 12 годин на добу він відпрацює 11 2/3 років.

Покрокове пояснення:

Якщо строк служби телевізора розрахований на певну кількість годин, то у такому випадку телевізор буде працювати у 7/12 разів меньшу кількість років:

20 × 7 / 12 = 11 2/3 років.

Перевірка:

За 20 років мине:

20 × 365,25 = 7 305 діб.

За умови, що телевізор працюватиме 7 годин на добу за 20 років він відпрацює:

7 × 7 305 = 51 135 годин.

За умови, що телевізор працюватиме 12 годин на добу він відпрацює:

51 135 / 12 = 4 261,25 діб.

Це складає:

4 261,25 ÷ 365,25 = 11,(6) = 11 2/3 років.

Все співпадає.

4,8(88 оценок)
Ответ:
foltes
foltes
12.12.2021

Пошаговое объяснение:

1)

0,35/ 2/3х = 0,45/ х-10

0,35 * (х-10) = 2/3х * 0,45

0,35х - 3,5 = 2/3х * 45/100

0,35х - 3,5 = 90/300х

0,35х - 3,5 = 0,3х

0,35х - 0,3х = 3,5

0,05х = 3,5

х = 3,5 : 0,05

х = 70

2)

(6х + 2,4) : 3. 5/9 = 2,25 : 1/3

1/3 * (6х + 2,4) = 2,25 * 3. 5/9

1/3 * (6х + 24/10) = 225/100 * 32/9

6/3х + 24/30 = 25/25 * 8/1

2х + 4/5 = 1 * 8

2х + 4/5 = 8

2х = 8 - 4/5

2х = 7. 1/5

х = 7. 1/5 : 2

х = 36/5 * 1/2

х = 36/10

х = 3. 6/10

х = 3. 3/5 или 3,6

3)

(0,2х+3)/2. 3/11 = 1,1х/5

5 * (0,2х + 3) = 1,1х * 2. 3/11

1х + 15 = 11/10х * 25/11

х + 15 = 25/10х

х + 15 = 2,5х

х - 2,5х = -15

-1,5х = -15

х = -15 : (-1,5)

х = 10

4)

(х - 6/13) : 0,8 = (5х + 6) : 13

13 * (х - 6/13) = 0,8 * (5х + 6)

13х - 78/13 = 4х + 4,8

13х - 6 = 4х + 4,8

13х - 4х = 4,8 + 6

9х = 10,8

х = 10,8 : 9

х = 1,2

4,4(35 оценок)
Новые ответы от MOGZ: Математика
logo
Вход Регистрация
Что ты хочешь узнать?
Спроси Mozg
Открыть лучший ответ