М
Молодежь
К
Компьютеры-и-электроника
Д
Дом-и-сад
С
Стиль-и-уход-за-собой
П
Праздники-и-традиции
Т
Транспорт
П
Путешествия
С
Семейная-жизнь
Ф
Философия-и-религия
Б
Без категории
М
Мир-работы
Х
Хобби-и-рукоделие
И
Искусство-и-развлечения
В
Взаимоотношения
З
Здоровье
К
Кулинария-и-гостеприимство
Ф
Финансы-и-бизнес
П
Питомцы-и-животные
О
Образование
О
Образование-и-коммуникации
IDebil
IDebil
21.05.2022 19:54 •  Математика

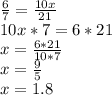
8/9=4x/27? 0.25/4× +1 =0.3/8.4? 6/7 =10×/21?

👇
Ответ:
ира1031
ира1031
21.05.2022
\frac{8}{9} = \frac{4x}{27} \\ 8*27=4x *9\\ x= \frac{8*27}{9*4} \\ x= \frac{2*3}{1} \\ x=6.

\frac{6}{7}= \frac{10x}{21} \\ 10x*7=6*21 \\ x= \frac{6*21}{10*7} \\ x= \frac{9}{5} \\ x=1.8
4,7(64 оценок)
Открыть все ответы
Ответ:
Benitto
Benitto
21.05.2022
1) Если число нечетное, то при делении на 2 в остатке будет 1.
Так как 543 нечетное число, значит, при делении на 2 в остатке будет 1.

2) Если в каком либо числе в разряде единиц не стоит цифра 5 или 0, то при делении такого числа на 5 в остатке будет цифра из разряда единиц.

Так как в числе 543 в разряде единиц стоит цифра 3, то при делении 543 на 5 в остатке будет 3.

3) Число делится на 9, если сумма его цифр делится на 9.
5 + 4 + 3 = 12
12 не делится на 9, но если от 12 отнять 9, получим остаток, который получился бы при делении 543 на 9.
12 - 9 = 3 (осток)
4,5(28 оценок)
Ответ:
adilimanaliev03
adilimanaliev03
21.05.2022
1) Если число нечетное, то при делении на 2 в остатке будет 1.
Так как 543 нечетное число, значит, при делении на 2 в остатке будет 1.

2) Если в каком либо числе в разряде единиц не стоит цифра 5 или 0, то при делении такого числа на 5 в остатке будет цифра из разряда единиц.

Так как в числе 543 в разряде единиц стоит цифра 3, то при делении 543 на 5 в остатке будет 3.

3) Число делится на 9, если сумма его цифр делится на 9.
5 + 4 + 3 = 12
12 не делится на 9, но если от 12 отнять 9, получим остаток, который получился бы при делении 543 на 9.
12 - 9 = 3 (осток)
4,6(27 оценок)
Это интересно:
Новые ответы от MOGZ: Математика
logo
Вход Регистрация
Что ты хочешь узнать?
Спроси Mozg
Открыть лучший ответ