М
Молодежь
К
Компьютеры-и-электроника
Д
Дом-и-сад
С
Стиль-и-уход-за-собой
П
Праздники-и-традиции
Т
Транспорт
П
Путешествия
С
Семейная-жизнь
Ф
Философия-и-религия
Б
Без категории
М
Мир-работы
Х
Хобби-и-рукоделие
И
Искусство-и-развлечения
В
Взаимоотношения
З
Здоровье
К
Кулинария-и-гостеприимство
Ф
Финансы-и-бизнес
П
Питомцы-и-животные
О
Образование
О
Образование-и-коммуникации
5Vlad2851
5Vlad2851
07.06.2021 03:02 •  Математика

Найдите все натуральные значения x, при которых верно неравенство: 1) x/17 < 8/51 ; 2) x/65 < 1/13 ; 3) x/5 < 3/15 ; 4) 1/16 < x/8

👇
Ответ:
zhenyakozyrkova
zhenyakozyrkova
07.06.2021

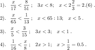
1).  x = 1, 2.

2).  x = 1, 2, 3, 4.

3).  ∅ (нет натуральных корней).

4).  x - любое натуральное число.

\displaystyle 1). \;\;\; \frac{x}{17} < \frac{8}{51} \; ; \;\;\; 3x

4,5(59 оценок)
Открыть все ответы
Ответ:
ruqiyaaminova1
ruqiyaaminova1
07.06.2021

Сабантуй бәйрәме − татар халкының иң олы бәйрәмнәренең берсе. Ул − хезмәт һәм дуслык бәйрәме.

Сабан туе − ул һәркемнең көтеп алган изге бәйрәме. Иң элек Сабантуй үткәрү өчен мәйдан әзерлиләр. Безнең авылда Сабантуй урман буеңдагы яшел чирәм белән капланган иңкүлектә үткәрелә.

Иртәгә Сабантуй буласы көнне авыл яшьләре, урам буйлап гармуннар уйнап, җырлап-биеп, хуҗабикәләрдән, яшь киленнәрдән Сабан туе өчен махсус әзерләнгән бүләкләр җыеп, халыкны бәйрәмгә чакырып йөриләр. Бу «Сөлге җыю» дип атала.

Икенче көнне матур итеп бизәлгән мәйданга бәйрәмчә киенгән халык җыела. Мәйдан уртасында батырлар көч сынаша. Җиңүчеләрне тәкә һәм кыйммәтле бүләкләр көтә. Бертуктаусыз музыка яңгырый, һәркем үзенең осталыгын күрсәтә: кемдер җырлый, кемдер бии, кемдер музыка коралларында уйный.

Яланаяклы малайлар багана башындагы сөлгегә үрмәлиләр. Мин үзем кәкре баганага менәргә яратам. Олыраклар аркан тартыша, капчык белән сугыша, кашыкка йомырка салып йөгерәләр. Уңган кызлар йөгерә-йөгерә су ташый. Бер төркем халык чүлмәк ватучыга көч биреп тора. Кемдер табактагы катыктан авызы белән акча эзли. Бөтен җирдә − уен-көлке, шаярулар.

Кинәт мәйдан, тын калып, чабышып килүче атларга юл ача. Беренче килгән атны шау-гөр килеп кул чабып каршы алалар. Соңыннан килгән ат та өлешсез калмый. Кайсы кеше, йөгереп килеп, атның муенына сөлге сала, икенчесе чабышчы малайның башына түбәтәй кидерә.

Сабан туе шулай, шаулап-гөрләп, кичкә кадәр дәвам итә. Бушап калган мәйданга карагач, ямансу була. Тагын бер елга кадәр сау бул, Сабантуй! Без сине сагынып көтәрбез.

4,4(6 оценок)
Ответ:
6676228
6676228
07.06.2021
Воздействие человека на природу обычно связано со стремлением достигнуть каких-либо заранее поставленных целей, однако они не всегда совпадают с возможностями биосферы.
Воздействие человека на природу именно и отличается от воздействия на нее животного тем, что деятельность первого переходит ту грань, когда сохраняется биологическое равновесие. В свою очередь малейшие изменения в природе могут привести к новым взаимосвязям природы и общества, к непредвиденным последствиям.
Человек в большей степени губит природу истощает ресурсы природы не восполняя их, а животные, напротив, живут в гармонии с природой.
Отрицательное воздействие человека на природу:
- Вырубка лесов, связанные со строительством магистралей и проч. Загрязнение почвы происходит в связи с использованием удобрений и химикатов. Сокращение численности популяций из-за расширения площадей для полей с вырубки лесов (животные, лишаясь нормальной среды обитания, погибают). Уничтожение растений и животных в связи со сложностями их адаптации к новой жизни, сильно изменённой человеком, или же просто истребление их людьми. Загрязнение атмосферы и воды разнообразными отходами производства и самими людьми. К примеру, в Тихом океане существует “мёртвая зона”, где плавает огромное количество мусора.
Животные принимают самое активное участие в:
- в распространении семян;
- образовании почвы. Дождевые черви, муравьи и другие мелкие животные постоянно вносят в почву органические вещества, измельчают их и тем самым созданию перегноя. Через норки и ходы роющих животных легче проникают к корням необходимые для жизни растений вода и воздух. В свою очередь, зеленые растения обогащают воздух кислородом, необходимым для дыхания всех животных. Растения служат пищей растительноядным животным, а те, в свою очередь — хищным. Так возникает цепь питания: растения — растительноядные животные — хищники. Животные не могут существовать без растений. Но и жизнь растений зависит от жизнедеятельности животных.
Очень велико санитарное значение животных — использование ими трупов других животных, остатков отмерших растений и опавшей листвы. Многие водные животные очищают воду, чистота которой для жизни столь же важна, как и чистота воздуха.
4,4(94 оценок)
Это интересно:
Новые ответы от MOGZ: Математика
logo
Вход Регистрация
Что ты хочешь узнать?
Спроси Mozg
Открыть лучший ответ