Для того, чтобы число делилось на 36, оно должно делится на 9 (число делится на 9, если его сумма цифр делится на 9) и на 4 (число делится на 4, если две его последние цифры делятся на 4). Начнем с четырех. 34 на 4 не делится. Заменяем нулем 4, получается 30 - не делится на 4. Заменяем нулем 3, 04 - делится на четыре. Заменяемые все цифры 3 в числе на 0, сложим цифры числа и посмотрим, делится ли их сумма на 9. Если заменить, получаем это число: 171819202122202425262728290001020004 Сумма его цифр равна 96. 96 на 9 не делится, а значит, на 36 тоже не делится. ответ: НЕ МОЖЕТ.
Правоохранительные органы – органы, осуществляющие правоохранительную деятельность. 2. Функции правоохранительных огранов: а) защита прав и свобод человека и гражданина;б) укрепление законности и правопорядка; в) охрана государственного и общественного строя;г) охрана законных прав и интересов организаций, предприятий и учреждений;д) борьба с преступностью.3. Основные правоохранительные ораны Российской Федерации:а) Конституционный суд и суды общей юрисдикции;б) Прокуратура;в) Министерство внутренних дел, органы внутренних дел;г) Министерство юстиции;д) Адвокатура.4. Виды правоохранительной деятельности:а) конституционный контроль;б) правосудие;в) надзор за исполнением законов;г) выявление и расследование преступлений;д) оказание юридической е) обеспечение законности и правопорядка. 5. Деятельность правоохранительных органов в развитии и укреплении демократических традиций.
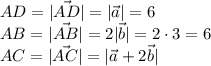
Пусть параллелограмм ABCD таков, что
Тогда
по правилу параллелограмма; ∠DAB=120°.
∠CBA = 180° - ∠DAB = 180° - 120° = 60° т.к. ∠CBA и ∠DAB одностороние.
CB = AD = 6 как противоположные стороны параллелограмма.
Получаем, что ΔABC равнобедренный (AB=CB), а угол при его вершине 60°. То есть ΔABC равностороний (∠A = ∠C = (180°-60°)÷2 = 60°).
Поэтому AC=CB=6.
ответ: 6.