М
Молодежь
К
Компьютеры-и-электроника
Д
Дом-и-сад
С
Стиль-и-уход-за-собой
П
Праздники-и-традиции
Т
Транспорт
П
Путешествия
С
Семейная-жизнь
Ф
Философия-и-религия
Б
Без категории
М
Мир-работы
Х
Хобби-и-рукоделие
И
Искусство-и-развлечения
В
Взаимоотношения
З
Здоровье
К
Кулинария-и-гостеприимство
Ф
Финансы-и-бизнес
П
Питомцы-и-животные
О
Образование
О
Образование-и-коммуникации
mysya4
mysya4
24.01.2021 12:11 •  Математика

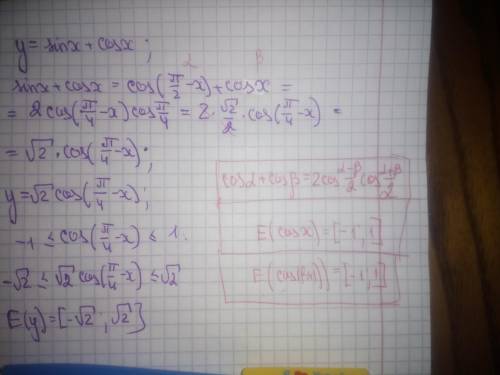
Объясните как находиться область изменения функции y=sin(x)+cos(x). не понимаю как преобразовать и что

👇
Ответ:

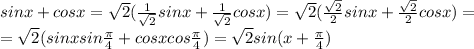
sinx+cosx=\sqrt{2}(\frac{1}{\sqrt{2}}sinx+\frac{1}{\sqrt{2}}cosx)=\sqrt{2}(\frac{\sqrt{2}}{2}sinx+\frac{\sqrt{2}}{2}cosx)=\\=\sqrt{2}(sinxsin\frac{\pi}{4}+cosxcos\frac{\pi}{4})=\sqrt{2}sin(x+\frac{\pi}{4})

Если E(f) = [a; b], то E(g) = [ka; kb], где g(x)=k·f(x).

f(x) := sin(x+\frac{\pi}{4}),

E(f) = [-1; 1].

g(x) := \sqrt{2}f(x)= \sqrt{2}sin(x+\frac{\pi}{4}),

E(g) = [-√2; √2].

ответ: E(y) = [-√2; √2]

4,5(98 оценок)
Ответ:

Решение задания приложено


Объясните как находиться область изменения функции y=sin(x)+cos(x). не понимаю как преобразовать и ч
4,5(54 оценок)
Открыть все ответы
Ответ:
Tw1mHero
Tw1mHero
24.01.2021
1 Вариант
экспедиция находит в труднодоступном месте вход на горное плато, где не ступала нога современного человека. там сохранился доледниковый природный мир. но проход на плато скоро оказывается утраченным.  в лондоне вернувшимся первооткрывателям никто не верит. чтобы убедить научное общество, они демонстрируют собранию птеродактиля, который остался единственным доказательством существования затерянного мира. птеродактиль улетает в окно и пропадает. конец.

2 Вариант
Молодой журналист в составе исследовательской экспедиции оказывается в загадочном Затерянном мире, который населяют динозавры и враждующие племена индейцев и человекообезьян.

3 Вариант
https://briefly.ru/dojl/zateriannyy_mir/

почитай полную версию очень классная
4,6(90 оценок)
Ответ:
arnautovvladik
arnautovvladik
24.01.2021

Тема: Ф.Яруллинның “Кояштагы тап” хикәясе (6 нчы сыйныфта сыйныфтан тыш уку дәресе)

Дәрес тибы: Белемнәрне гомумиләштерү һәм системалаштыру.

Максат: 1. Хикәя белән таныштыру, эчтәлегенә төшендерү; текстка караган лексиканы сөйләмдә активлаштыру; укучыларның аралашу күнекмәләрен үстерү; бердәм хезмәттәшлек итәргә өйрәтү; сәнгатьле, йөгерек, дөрес уку күнекмәләрен камилләштерү.

2. Фикерләү сәләтен үстерү, үзфикерләүне булдыру.

3. Әниләргә карата хөрмәт тәрбияләү.

Җиһазлау: Фәнис Яруллин.Сайланма әсәрләр; Татар теленең аңлатмалы сүзлеге, ноутбук.

Таратма материаллар:ак, сары битләр, маркерлар.

Дәрес барышы:

I. Оештыру өлеше.

1. Исәнләшү. “Хәерле көн, балалар!”

2. Дәреснең максаты белән таныштыру.

- Укучылар, бездә бүген сыйныфтан тыш уку дәресе. Сезгә өйдә Ф. Яруллинның “Кояштагы тап” хикәясен укып килергә кушылган иде. Без дәрестә аның эчтәлегенә төшенербез, яхшылык һәм яманлык турында сөйләшербез.

II. Актуальләштерү.

Укучыларга “Нәрсә ул яхшылык?” “Нәрсә ул яманлык?” дигән сораулар куела.

Алар үз фикерләрен белдерәләр. Бер-берсен тулыландыралар.

III. Яңа материал.

1. Татар теленең аңлатмалы сүзлегеннән “яхшылык, яманлык” сүзләренең төшенчәсен аңлату.

Яхшылык – файда, уңайлык, изгелек

Яманлык – усаллык, начарлык, әшәкелек.

2. Укучыларга ак кәгазь битләре, маркерлар таратыла. Алар шунда, чиратлашып, әниләренең яхшы сыйфатларын язалар. Шуннан соң бер укучы җавапларны укып чыга. Җаваплар кабатланмаска тиеш.

- Рәхмәт, балалар! Ә без үзебезнең әниләргә борчу китермибез микән? Алар бәхетле булсын өчен сезгә нишләргә кирәк? (тырышып укырга, тәртипле булырга)

Хикәядәге аңлашылмаган сүзләргә игътибар итик.

3. Сүзлек эше: тап – берәр өслектә аерылып торган нокта яисә мәйданчык

өтеп – яндырып, көйдереп

шомлы – куркыныч

4. Хикәя белән эш.

Өйдә укып килгән “Кояштагы тап” хикәясе буенча сөйләшү.

Хикәядә нинди образлар бар?

Хикәядән әнисе образы турында язылган юлларны табып укыгыз.

Өзектән әнисенең ниләр эшләгәнлеген табып әйтәләр.

Әни кешенең төп сыйфаты – эшчәнлек икәнлеген әйттерүгә ирешү.

Бу хикәядә малайның нинди сыйфатын күрдек?

Иң төп сыйфат: әнисе – эшчән, малай – ялкау икәнлеген күрдек.

Малай урынында булсагыз нишләр идегез? (Җаваплар тыңлана)

Ял итү. Физкультминутка.

IV. Ныгыту.

Укучыларга сорау язылган карточкалар таратыла һәм җавапларын дәрестән чыкканда җыеп алына.

1) Малай кем белән яшәгән? 2) Малайның әнисе нәрсәләр эшләгән? 3) Авыру әнисе малайдан нәрсә сораган? 4) Малай нинди начарлык эшләгән? 5) Бу начарлыкны нәрсә күргән? 6) Кояшта нәрсә калган?

V. Йомгаклау.

1. Сары кәгазьләргә әниләргә теләкләр язалар.

Мәсәлән: Бәхетле бул! Исән-сау бул!

Сәламәт бул! Янәшәмдә бул!

Озак яшә! Кайгы күрмә!

Беркайчан да авырма! Авырма! һ.б.

VI. Өй эше. Әниләр турында мәкальләр язып килергә.

Дәрес “Әни” турында җыр белән тәмамлана. Укучыларга билгеләр кую һәм дәресне тәмамлап, алар белән саубуллашу.

4,5(43 оценок)
Это интересно:
Новые ответы от MOGZ: Математика
logo
Вход Регистрация
Что ты хочешь узнать?
Спроси Mozg
Открыть лучший ответ