М
Молодежь
К
Компьютеры-и-электроника
Д
Дом-и-сад
С
Стиль-и-уход-за-собой
П
Праздники-и-традиции
Т
Транспорт
П
Путешествия
С
Семейная-жизнь
Ф
Философия-и-религия
Б
Без категории
М
Мир-работы
Х
Хобби-и-рукоделие
И
Искусство-и-развлечения
В
Взаимоотношения
З
Здоровье
К
Кулинария-и-гостеприимство
Ф
Финансы-и-бизнес
П
Питомцы-и-животные
О
Образование
О
Образование-и-коммуникации
kristina231220
kristina231220
08.12.2021 22:43 •  Математика

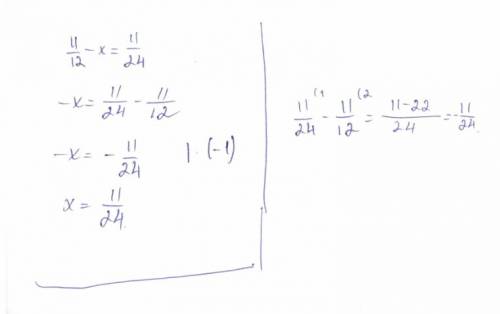
Найдите корень уравнения 11_-х=11_ 12 24

👇
Ответ:
icidarmitrim
icidarmitrim
08.12.2021
Вроде бы правильно ))
Найдите корень уравнения 11_-х=11_ 12 24
4,4(24 оценок)
Открыть все ответы
Ответ:
sonsan108
sonsan108
08.12.2021

Пошаговое объяснение:

Шифр Цезаря, также известный как шифр сдвига, код Цезаря или сдвиг Цезаря — один из самых простых и наиболее широко известных методов шифрования.

Шифр Цезаря — это вид шифра подстановки, в котором каждый символ в открытом тексте заменяется символом, находящимся на некотором постоянном числе позиций левее или правее него в алфавите. Например, в шифре со сдвигом вправо на 3, А была бы заменена на Г, Б станет Д, и так далее.

Шифр назван в честь римского полководца Гая Юлия Цезаря, использовавшего его для секретной переписки со своими генералами.

Шаг шифрования, выполняемый шифром Цезаря, часто включается как часть более сложных схем, таких как шифр Виженера, и всё ещё имеет современное приложение в системе ROT13. Как и все моноалфавитные шифры, шифр Цезаря легко взламывается и не имеет почти никакого применения на практике.

4,7(72 оценок)
Ответ:
nizyulkoelena
nizyulkoelena
08.12.2021
ответ: угол А=80 градусов, угол В= 90 градусов, угол С= 100 градусов, угол Д=90 градусов
Принцип решения:
1) пусть точка О - центр окружности с диаметром АС, значит диагональ АС четырехугольника проходит через центр окружности О
2 ) треугольник ВОС - равнобедренный ВО=СО (т. к. точки В и С лежат на окружности) , значит угол ОВС= углу ОСВ. Угол ВОС=100 градусам (т. к. дуга ВС=100 градусов) , значи углы ОВС и ОСВ по 40 градусов каждый (т. к. сумма трех углов в треугольнике = 180 градусам)
3) Аналогичные рассуждения для треугольника СОД, который тоже равнобедренный: угол СОД=60 градусов (т. к. дуга СД=60 градусов) , тогда угол ОДС = углу ОСД = 60 градусов
4) Для треугольника АОВ: угол АОВ= угол АОС-угол ВОС=180-100=80 градусов. Аналогичные рассуждения для треугольника АОВ, который тоже равнобедренный, тогда угол ОАВ = углу ОВА = 50 градусов
5) Для треугольника АОД угол АОД= угол АОС-угол СОД=180-60=120 градусов.
Аналогичные рассуждения для треугольника АОД, который тоже равнобедренный, тогда угол ОАД = углу ОДА = 30 градусов
6) в четырехугольнике угол А (угол ДАС) =угол ОАД+угол ОАВ=30+50=80 градусов
7) в четырехугольнике угол В (угол АВС) =угол ОВА+угол ОВС=50+40=90 градусов
8) в четырехугольнике угол С (угол ВСД) =угол ОСВ+угол ОСД=40+60=100 градусов
9) в четырехуголинике угол Д (угол СДА) =угол ОДС+угол ОДА=60+30=90 градусов
4,5(45 оценок)
Это интересно:
Новые ответы от MOGZ: Математика
logo
Вход Регистрация
Что ты хочешь узнать?
Спроси Mozg
Открыть лучший ответ