М
Молодежь
К
Компьютеры-и-электроника
Д
Дом-и-сад
С
Стиль-и-уход-за-собой
П
Праздники-и-традиции
Т
Транспорт
П
Путешествия
С
Семейная-жизнь
Ф
Философия-и-религия
Б
Без категории
М
Мир-работы
Х
Хобби-и-рукоделие
И
Искусство-и-развлечения
В
Взаимоотношения
З
Здоровье
К
Кулинария-и-гостеприимство
Ф
Финансы-и-бизнес
П
Питомцы-и-животные
О
Образование
О
Образование-и-коммуникации
Kamilkamilka222
Kamilkamilka222
15.08.2021 02:20 •  Математика

Решите неравенства 6х*-7х+2> 0 5х - 6

👇
Ответ:
annafilimonova1
annafilimonova1
15.08.2021
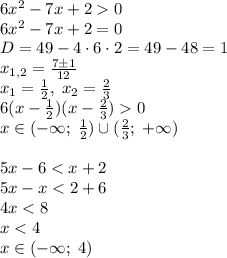
6x^2-7x+20\\6x^2-7x+2=0\\D=49-4\cdot6\cdot2=49-48=1\\x_{1,2}=\frac{7\pm1}{12}\\x_1=\frac12,\;x_2=\frac23\\6(x-\frac12)(x-\frac23)0\\x\in(-\infty;\;\frac12)\cup(\frac23;\;+\infty)\\\\5x-6
4,7(99 оценок)
Открыть все ответы
Ответ:
prisheplub
prisheplub
15.08.2021
вперед 4 шага;
назад 2 шага;
расст. 10 шагов:
всего   ? шагов
Решение:
4 + 2 = 6 (шагов) Митя делает за цикл;
4 - 2 = 2 (шага)  на два шага он продвигается за цикл (4-2)
10 - 4 = 6 (шагов) --- на таком расстоянии от заданной точки 10 шагов Митя должен оказаться перед последним циклом, т.к. назад возвращаться ему будет не надо.
6 : 2 = 3 (цикла) надо сделать перед последними шагами вперед;
6 * 3 = 18 (шагов) всего сделает Митя перед последним продвижением вперед:
6 + 4 = 10 (шагов) --- Митя достиг заданной точки (10 шагов);
18 + 4 = 22 (шага)   всего сделал Митя.
ответ: 22 шага всего сделал Митя.
4,6(78 оценок)
Ответ:
nika614
nika614
15.08.2021
I. Противодействие расширению экспансии Франции в Европе:
1.  Участие России в антифранцузской коалиции 1797-1800
2. 1798 - победа русской эскадры Ушакова в Средиземном море => остров Корфу стал базой русского флота.
3. 1799 - походы Суворова (разгром сил Франции, освобождение Швейцарии) => рост международного авторитета России
II. Изменение курса: сближение с Францией:
Угроза военного столкновения с Англией. Подготовка русской армии к походу в Индию. Участие России в союзах против Англии и Австрии. 
III. Освоение Североамериканского континета:
Учреждение Русско-американской компании
4,4(99 оценок)
Это интересно:
Новые ответы от MOGZ: Математика
logo
Вход Регистрация
Что ты хочешь узнать?
Спроси Mozg
Открыть лучший ответ