М
Молодежь
К
Компьютеры-и-электроника
Д
Дом-и-сад
С
Стиль-и-уход-за-собой
П
Праздники-и-традиции
Т
Транспорт
П
Путешествия
С
Семейная-жизнь
Ф
Философия-и-религия
Б
Без категории
М
Мир-работы
Х
Хобби-и-рукоделие
И
Искусство-и-развлечения
В
Взаимоотношения
З
Здоровье
К
Кулинария-и-гостеприимство
Ф
Финансы-и-бизнес
П
Питомцы-и-животные
О
Образование
О
Образование-и-коммуникации
kimiKatocom
kimiKatocom
18.09.2021 00:48 •  Математика

Корень 3 степени из 27x^6/64y^9 надо выражение!

👇
Ответ:
cjjlkfjiii
cjjlkfjiii
18.09.2021
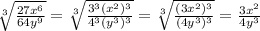
\sqrt[3]{ \frac{27x^6}{64y^9} } = \sqrt[3]{ \frac{3^3(x^2)^3}{4^3(y^3)^3} }= \sqrt[3]{ \frac{(3x^2)^3}{(4y^3)^3} }= \frac{3x^2}{4y^3}
4,6(13 оценок)
Открыть все ответы
Ответ:
polinfasdfg
polinfasdfg
18.09.2021

определим, сколько живёт в каждой клетке

Т. к. Всего 4 Х (хомяка), то во II клетке - 3 Х

1)4-1=3

Мышей 16 делим наполовину = 8

2)16\2=8

Получаем

I кл - 1 Х и 8 М (мышей)

II кл - 3 Х и 8 М

3) 142-106=36 (ст.) на 36 стебля дают больше во II клетку, чем в I

Т. к. во II клетке Хомяков больше только на 2

4) 3-1=2 (Х),

то узнаем, сколько стеблей на 1 Хомяка

5) 36/2=18 (ст.) - добавляют каждый день 1 Хомяку

6) 106-18=88 (ст.) - остаётся в I клетке для 8 М

7) 88/8=11 (Ст.)- добавляют каждый день 1 Мыши

Проверяем

 

1*18+8*11=106 - в I клетке

3*18+8*11=142 - во II клетке

ответ: Хомяку - 18 стеблей, Мыши - 11 стебле

4,6(1 оценок)
Ответ:
uhbujhxbr
uhbujhxbr
18.09.2021

определим, сколько живёт в каждой клетке

Т. к. Всего 4 Х (хомяка), то во II клетке - 3 Х

1)4-1=3

Мышей 16 делим наполовину = 8

2)16\2=8

Получаем

I кл - 1 Х и 8 М (мышей)

II кл - 3 Х и 8 М

3) 142-106=36 (ст.) на 36 стебля дают больше во II клетку, чем в I

Т. к. во II клетке Хомяков больше только на 2

4) 3-1=2 (Х),

то узнаем, сколько стеблей на 1 Хомяка

5) 36/2=18 (ст.) - добавляют каждый день 1 Хомяку

6) 106-18=88 (ст.) - остаётся в I клетке для 8 М

7) 88/8=11 (Ст.)- добавляют каждый день 1 Мыши

Проверяем

 

1*18+8*11=106 - в I клетке

3*18+8*11=142 - во II клетке

ответ: Хомяку - 18 стеблей, Мыши - 11 стебле

4,7(88 оценок)
Новые ответы от MOGZ: Математика
logo
Вход Регистрация
Что ты хочешь узнать?
Спроси Mozg
Открыть лучший ответ