М
Молодежь
К
Компьютеры-и-электроника
Д
Дом-и-сад
С
Стиль-и-уход-за-собой
П
Праздники-и-традиции
Т
Транспорт
П
Путешествия
С
Семейная-жизнь
Ф
Философия-и-религия
Б
Без категории
М
Мир-работы
Х
Хобби-и-рукоделие
И
Искусство-и-развлечения
В
Взаимоотношения
З
Здоровье
К
Кулинария-и-гостеприимство
Ф
Финансы-и-бизнес
П
Питомцы-и-животные
О
Образование
О
Образование-и-коммуникации
Саша22877324516
Саша22877324516
19.08.2021 18:10 •  Математика

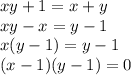
Найти все значения х и у,для которых ху+1=х+у

👇
Ответ:
svetaH666
svetaH666
19.08.2021
xy+1=x+y \\
xy-x=y-1 \\
x(y-1)=y-1 \\
(x-1)(y-1)=0

Из последнего равенства следует, что хотя бы одно из чисел x и y должно быть равно 1.
4,8(42 оценок)
Открыть все ответы
Ответ:
I3eTePo4eK265
I3eTePo4eK265
19.08.2021
1) y' - xy = e^x
Неоднородное уравнение 1 порядка. Замена y = u*v, y' = u'*v + u*v'
u'*v + u*v' - x*u*v = e^x
u'*v + u*(v' - x*v) = e^x
Скобку приравниваем к 0
v' - x*v = 0
Уравнение с разделяющимися переменными
dv/dx = x*v
dv/v = dx*x
ln |v| = x^2/2
v = e^(x^2/2)
Получилось уравнение
u'*v + u*0 = e^x
u' = e^x / v = e^x / e^(x^2/2) = e^(x - x^2/2)
u' = e^(x - x^2/2)
Однако, этот интеграл в элементарных функциях не берется.
Но вообще он очень похож на интеграл Лапласа:
Ф(x) = \frac{1}{ \sqrt{2 \pi } } \int {e^{-x^2/2}} \, dx
В итоге
y=u*v=e^{x^2/2}* \int {e^{x - x^2/2}} \, dx

2) \int {cos^4(x)} \, dx = \int {(cos^2(x))^2} \, dx=\int {( \frac{1+cos(2x)}{2} )^2} \, dx=
= \frac{1}{4} \int {(1+cos(2x))^2} \, dx= \frac{1}{4}\int {(1+2cos(2x)+cos^2(2x))} \, dx=
\frac{1}{4} (x+ sin(2x)+ \int { \frac{1+cos(4x)}{2} } \, dx)=\frac{x}{4}+ \frac{1}{4}sin(2x)+ \frac{1}{8} \int {(1+cos(4x))} \, dx
=\frac{x}{4}+ \frac{1}{4}sin(2x)+ \frac{1}{8}(x+ \frac{1}{4}sin(4x) )= \frac{3x}{8} + \frac{1}{4} sin(2x)+ \frac{1}{32} sin(4x)+C

3) \int { \frac{dx}{cos^2(7x-3)} }= \frac{1}{7}*tg(7x-3)
Это совсем простой табличный интеграл.

4) Тут я не понял, что такое 2' + y ?
4,6(18 оценок)
Ответ:
ghosthog
ghosthog
19.08.2021
Семь чудес света – это древнейшие памятники архитектуры, которые по праву считаются самыми великими творениями рук человека. Число 7 было выбрано далеко не просто так. Оно принадлежало Аполлону и являлось символом завершенности, полноты и совершенства. При этом традиционным жанром эллинистической поэзии являлось прославление списка самых знаменитых деятелей культуры – поэтов, философов, царей, полководцев и пр. либо выдающихся памятников архитектуры.

Первые упоминания о Чудесах света встречаются именно в эту эпоху, когда по Европе уже победоносные войска Александра Македонского. Широкое распространение греческой культуры на территориях, входящих в состав государств, которые завоевал великий полководец, обеспечило громкую известность отдельным памятникам и архитектурным сооружениям. Но следует отметить, что «отбор» чудес происходил постепенно. Одни названия сменяли другие, и на сегодняшний день в перечень самых величественных произведений искусства и архитектуры входят:
1)Пирамиды Гизы
2)Висячие сады Семирамиды
3)Олимпийская статуя Зевса
4)Храм Артемиды в Эфесе
5)Галикарнасский мавзолей
6)Колосс Родосский
7)Александрийский маяк
4,5(86 оценок)
Это интересно:
Новые ответы от MOGZ: Математика
logo
Вход Регистрация
Что ты хочешь узнать?
Спроси Mozg
Открыть лучший ответ