М
Молодежь
К
Компьютеры-и-электроника
Д
Дом-и-сад
С
Стиль-и-уход-за-собой
П
Праздники-и-традиции
Т
Транспорт
П
Путешествия
С
Семейная-жизнь
Ф
Философия-и-религия
Б
Без категории
М
Мир-работы
Х
Хобби-и-рукоделие
И
Искусство-и-развлечения
В
Взаимоотношения
З
Здоровье
К
Кулинария-и-гостеприимство
Ф
Финансы-и-бизнес
П
Питомцы-и-животные
О
Образование
О
Образование-и-коммуникации
linwei
linwei
15.02.2020 12:43 •  Математика

0,1 число 0,1 0,001 0,00001 решить это степени с натуральным показателем

👇
Ответ:
valeriyaa17
valeriyaa17
15.02.2020
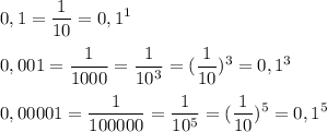
\displaystyle 0,1 = \frac{1}{10}=0,1^{1} \\ \\ 0,001= \frac{1}{1000}= \frac{1}{10^{3}}=( \frac{1}{10})^{3}=0,1^{3} \\ \\0,00001= \frac{1}{100000}= \frac{1}{10^{5}}=( \frac{1}{10})^{5}=0,1^{5}
4,5(59 оценок)
Открыть все ответы
Ответ:
mari523
mari523
15.02.2020
Бактерии — это живые микроорганизмы, которые в жизни человека играют значительную роль. Эти микроорганизмы отвечают за расщепление веществ, выработку некоторых витаминов и ферментов. В тоже время в природе встречаются как полезные бактерии, так и вредные бактерии. Представителей первой группы можно обнаружить в кишечнике человека. Они отвечают за процесс пищеварения и формирование защитных сил организма. Вредные виды бактерий — это возбудители различных заболеваний. Они выступают в роли паразитов в человеческом организме. В ходе своей жизнедеятельности они поглощают здоровые клетки, выделяют токсины, убивают полезные формы бактерий. Под их воздействием формируется интоксикация и дефицит витаминов и питательных веществ. Нарушается нормальное функционирование органов и целых систем. Для борьбы с ними врачи используются антибактериальные препараты различного спектра действия. Очень часто родители сталкиваются с ситуациями, при которых обнаруживаются бактерии в моче у ребенка грудного возраста. Обычно это формы кишечных палочек, которые проникают в мочеиспускательный канал по причине плохого гигиенического ухода за младенцев. Постоянное присутствие кишечной палочки в области мочеиспускательного канала у девочек может привести к нагноению и развитию цистита. Для предупреждения этого следует правильно подмывать грудного ребенка, спереди назад. Следите за чистотой и гигиеной малыша.

http://pediatriya.info/?page_id=853#hcq=nUezqFp
4,4(45 оценок)
Ответ:
oksanakrasilnikova
oksanakrasilnikova
15.02.2020

а)

делится на 5, если последняя цифра 0 или 5

сумма цифр 11


...  0  0  - последняя цифра 0 не может быть, так как первое число не может быть двухзначным

 0   5  - чтобы сумма цифр была 11, первая цифра должна быть 6

                ( 11 - 5 = 6)


ОТВЕТ: 605

б)

3 = 1 + 2 = 2 + 1

если последняя цифра 1, то 1 цифра должна быть 2, но так не получится, значит цифра десятков должна быть с переходом через разряд - это 5.

  5    1

видим, что в разряде сотен цифра 2 ( 2 + 1 = 3... нам по условию нужно получить сумму равную 403)

251  +  152 = 403 - верно


ОТВЕТ: 251 и 152

4,5(29 оценок)
Это интересно:
Новые ответы от MOGZ: Математика
logo
Вход Регистрация
Что ты хочешь узнать?
Спроси Mozg
Открыть лучший ответ