М
Молодежь
К
Компьютеры-и-электроника
Д
Дом-и-сад
С
Стиль-и-уход-за-собой
П
Праздники-и-традиции
Т
Транспорт
П
Путешествия
С
Семейная-жизнь
Ф
Философия-и-религия
Б
Без категории
М
Мир-работы
Х
Хобби-и-рукоделие
И
Искусство-и-развлечения
В
Взаимоотношения
З
Здоровье
К
Кулинария-и-гостеприимство
Ф
Финансы-и-бизнес
П
Питомцы-и-животные
О
Образование
О
Образование-и-коммуникации
Tori1111111
Tori1111111
27.10.2021 10:29 •  Математика

Хелп в группе спортсменов два мастера спорта, шесть кандидатов в мастера и восемь перворазрядников. по жребию выбирается четыре спортсмена. найти вероятность: а. – все четыре выбранные спортсмена оказались кандидатами в мастера спорта; в. – среди выбранных спортсменов хотя бы один оказался кандидатом в мастера спорта; с. – среди выбранных спортсменов оказались два мастера спорта и два кандидата в мастера спорта.

👇
Ответ:
Saoneck
Saoneck
27.10.2021
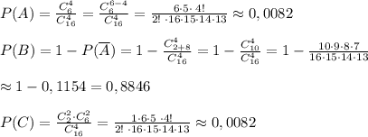
2  - м.с.  ,  6 - к.м.с.  ,  8 - 1р.

P(A)= \frac{C_6^4}{C_{16}^4} = \frac{C_6^{6-4}}{C_{16}^4} = \frac{6\cdot 5\cdot \; 4!}{2!\; \cdot 16\cdot 15\cdot 14\cdot 13} \approx 0,0082\\\\P(B)= 1-P(\overline {A})=1-\frac{C^4_{2+8}}{C^4_{16}} =1- \frac{C_{10}^4}{C^4_{16}} =1- \frac{10\cdot 9\cdot 8\cdot 7}{16\cdot 15\cdot 14\cdot 13} \\\\\approx 1-0,1154=0,8846\\\\P(C)= \frac{C_2^2\cdot C_6^2}{C_{16}^4} = \frac{1\cdot 6\cdot 5\; \cdot 4!}{2!\; \cdot 16\cdot 15\cdot 14\cdot 13} \approx 0,0082
4,7(47 оценок)
Открыть все ответы
Ответ:
Shkolяr
Shkolяr
27.10.2021

Предложу решение, но мне кажется, есть что-то попроще, но не могу найти.

Рассуждаем так. Допустим до встречи 1 шёл со скоростью х км/ч, тогда второй шёл со скоростью (10-х) км/ч ( потому что км за 5 часов, значит их общая скорость была 10 км/ч)

За 5 часов х км, ему осталось идти (50-5х) км, тогда второму осталось идти 50 -(50-5х)  = 5х (км) (т.к. после встречи им всё равно в сумме надо 50 км пройти.

их новые скорости: у первого:( х-1) (км/ч), у второго 1+(10-х) = 11-х (км/ч)

Теперь делим оставшиеся расстояния на скорости , получим время и зная, что первый пришёл раньше на 2 ч. составляем уравнение:

 5х/(11-х) - (50-5х)/(х-1) = 2

5х/(11-х) - (50-5х)/ (х-1) - 2 = 0

приводим к общему знаменателю это (11-х)(х-1), и я буду писать только числитель:

5х(х-1) -(50-5х)(11-х) - 2(11-х)(х-1) = 0 ( т.к. дробь равно 0, если числитель равен 0, а знаменатель не равен 0)

5х^2-5x-550+55x+50x-5x^2-22x+22+2x^2-2x = 0

2x^2+76x-528 = 0

x^2+38x -264 = 0

D=2500

x=(-38-50)/2  -видно, что отриц. число, нам не подходит

или х= (-38+50)/2 = 6 (км/ч)

ответ: 6 км/ч


4,6(95 оценок)
Ответ:
austry1337
austry1337
27.10.2021
1) скорость сближения15+17=32км/час2) через сколько встретятся96/32=3 часа обратные задачи1)из 2-х поселков выехали 2 всадника и встретились через 3 часа..Средняя скорость движения первого 15км/ч,второго 17км/час. какое расстояние между поселков?2)из 2-х поселков расстояние между которыми 96км выехали 2 всадника и встретились через 3 часа.Какая скорость всадников,если скорость одного на 2 км/час больше скорости другого?3)из 2-х поселков расстояние между которыми 96км выехали 2 всадника и встретились через 3 часа..Средняя скорость движения первого 15км/ч. с какой скоростью ехал второй всадник?
4,8(28 оценок)
Новые ответы от MOGZ: Математика
logo
Вход Регистрация
Что ты хочешь узнать?
Спроси Mozg
Открыть лучший ответ