1. В первой корзине стало на 5 грибов больше, а во второй на 5 грибов меньше, а значит 5+5=10 грибов больше в первой корзине ответ на 10 грибов больше
2. 5*2=10 ног если бы все были двуногие 14-10=4 ноги лишние у четвероногих по 2 ноги 4:2=2 поросенка во дворе 5-2=3 курицы ответ 2 поросенка и 3 курицы
3. Т.к. остаток от связки журналов по 2 будет 1 журнал, то количество журналов не четное Возьмем самую большую связку журналов - по 4. Допустим таких связок 1, а значит: 4+3=7 журналов 7:3=2 (1 ост.) - не подходит Если будет 2 стопки, то по 4 , то 4*2+3=11 журналов 11:3=3 (2 ост.) 11:2=5 (1 ост.) Значит журналов будет 11. ответ 11 журналов
Почему-то у меня выравнивание стало справа. Ахиллес бежит со скоростью 3 м/с=300 см/с. Черепаха со скоростью 3 см/с. Начальное расстояние между ними 100 м .Ахиллес догоняет черепаху со скоростью 300 - 3 = 297 см/с = 2,97 м/с Начальный разрыв 100 м Ахиллес преодолее за 100/2,97 = 33,67 с. ответ: на 34-ой секунде Ахиллес догонит черепаху. А вот древний грек Зенон считал, что Ахиллес не догонит черепаху никогда. Потому что, Ахиллес пробежит эти 100 м разницы, но и черепаха за это время проползет какое-то расстояние. Ахиллес пробежит этот новый разрыв, но и черепаха опять сколько-то проползет. И так до бесконечности. Ахиллес не догонит ее никогда.
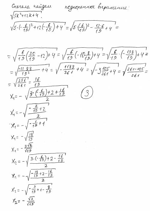
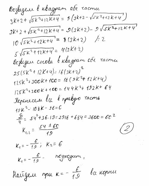
при
получается арифметическая прогрессия
при k=6
Пошаговое объяснение:
Решение смотри в приложении.