М
Молодежь
К
Компьютеры-и-электроника
Д
Дом-и-сад
С
Стиль-и-уход-за-собой
П
Праздники-и-традиции
Т
Транспорт
П
Путешествия
С
Семейная-жизнь
Ф
Философия-и-религия
Б
Без категории
М
Мир-работы
Х
Хобби-и-рукоделие
И
Искусство-и-развлечения
В
Взаимоотношения
З
Здоровье
К
Кулинария-и-гостеприимство
Ф
Финансы-и-бизнес
П
Питомцы-и-животные
О
Образование
О
Образование-и-коммуникации
Hskke
Hskke
21.07.2021 21:19 •  Математика

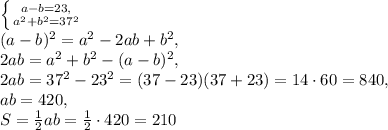
Разность катетов прямоугольного треугольника равна 23 дм , а его гипотенуза равна 37 дм . найдите периметр треугольника

👇
Ответ:
98675423
98675423
21.07.2021
\left \{ {{a-b=23,} \atop {a^2+b^2=37^2}} \right. \\ (a-b)^2=a^2-2ab+b^2, \\ 2ab=a^2+b^2-(a-b)^2, \\ 2ab=37^2-23^2=(37-23)(37+23)=14\cdot60=840, \\ ab=420, \\ S=\frac{1}{2}ab=\frac{1}{2}\cdot420=210
4,5(47 оценок)
Открыть все ответы
Ответ:
Mishcka10200
Mishcka10200
21.07.2021
ЕдаHi- KakProstoКакова роль сердца в кровообращенииСердце человека является относительно небольшим органом, оно весит чуть больше 300 г, его размер немного больше кисти, сжатой в кулак. Сердце выполняет функцию перекачивание крови, поэтому его часто называют насосом.Статьи по теме:Какова роль сердца в кровообращенииГде находится сердцеКак лечить нарушение мозгового кровообращенияКак проверить работу сердцаКак оценивать ЕГЭ по обществознаниюВопрос «как вырости?» - 5 ответовФункция сердца в системе кровообращенияСердце является полым органом, его стенки, в основном, состоят из мышечной ткани (миокарда). В сердце имеются два предсердия и два желудочка. Кровь из предсердий в желудочки направляют специальные клапаны, они также определяют дальнейшее ее продвижение в легочную артерию и аорту. Работа сердца заключается в перекачивании крови. Кровь, обогащенная кислородом, поступает в аорту из левого желудочка, а затем по артериям во все ткани и органы, снабжая их питательными веществами и кислородом. При этом венозная кровь, насыщенная углекислотой, поступает в правое предсердие, из него - в правый желудочек, а затем в легкие. В легких она освобождается от углекислоты, насыщается кислородом, а затем возвращается в левые камеры сердца. 

Путь крови, проходящий из правого желудочка в легкие, а затем из легких в левое предсердие называется малым кругом кровообращения, а длинный путь - из левого желудочка в ткани и органы к правому предсердию называется большим кругом кровообращения. Оба круга движения крови являются связанной воедино системой. За сутки сердце сокращается около 100 тыс. раз и перекачивает при этом около 14 тонн крови. За 70 лет этот орган перекачивает около 360 тыс. тонн крови, выполняя около 2,5 млрд сокращений. Левый желудочек сердца выполняет работу в условиях более высокого давления, поэтому его стенка более мощная, чем стенка правого.
4,8(91 оценок)
Ответ:
Mrt2004
Mrt2004
21.07.2021

Директор булсам, мин беренче эш итеп мәктәптә тәртип урнаштырыр идем. Тәртипсез балалар булмас, алар башкаларга укырга комачауламаслар иде. Укытучылар да, бигрәк тә яшь укытучылар, хәзерге шикелле, тәртипсезлекне күреп тә, башларын читкә борып йөрмәсләр иде. Андый укытучыларны мин мәктәпкә дә кертмәс идем.

Малайларның кызларны җәберләүләрен дә бетерер идем. Әтием-әнием сөйләве буенча, алар үскәндә, малайлар кызларны бик хөрмәт иткәннәр, ә кызлар бик матур һәм тыйнак булганнар. Шуңа күрә алар мәктәбеннән бер генә хулиган да, җинаятьчеләр дә үсеп чыкмаган. Аларның авыл укытучылары балаларны җәмгыятькә файдалы, хезмәт яратучан, гаилә тотарлык, кешелекле егетләр һәм кызлар итеп тәрбияләгәннәр.

Мәктәптә тәнәфесләрне дә, хәзергечә мәгънәсез итеп түгел, ә балалар нәкъ менә ике дәрес арасында физик яктан да, эмоциональ яктан да ял итә алырлык, тынычлап икенче дәрескә әзерләнерлек итеп оештырыр идем.

Укудан тыш түгәрәкләрне дә күз буяу өчен генә түгел, ә файдалы нәтиҗәсе булырлык итәр идем.

Мәктәптә дә, мәктәп янында да чит-ят, укуга комачаулык итүче кешеләрне йөртмәс идем.

Менә мин шундый директор булыр идем!

4,5(98 оценок)
Это интересно:
Новые ответы от MOGZ: Математика
logo
Вход Регистрация
Что ты хочешь узнать?
Спроси Mozg
Открыть лучший ответ