М
Молодежь
К
Компьютеры-и-электроника
Д
Дом-и-сад
С
Стиль-и-уход-за-собой
П
Праздники-и-традиции
Т
Транспорт
П
Путешествия
С
Семейная-жизнь
Ф
Философия-и-религия
Б
Без категории
М
Мир-работы
Х
Хобби-и-рукоделие
И
Искусство-и-развлечения
В
Взаимоотношения
З
Здоровье
К
Кулинария-и-гостеприимство
Ф
Финансы-и-бизнес
П
Питомцы-и-животные
О
Образование
О
Образование-и-коммуникации
luiza9505966348
luiza9505966348
29.12.2020 13:45 •  Математика

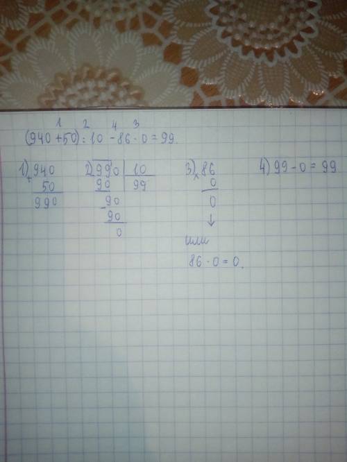
(940+50): 10-86*0 =99 как решить по действиям встолбиком

👇
Ответ:
samsonovich12S1
samsonovich12S1
29.12.2020
1)940+50=990
2)990:10=99
3)86*0=0
4)99*0=0
4,4(12 оценок)
Ответ:
chizhvlad2003p017q2
chizhvlad2003p017q2
29.12.2020
На фото решение по действиям.
(940+50): 10-86*0 =99 как решить по действиям встолбиком
4,4(20 оценок)
Открыть все ответы
Ответ:
Юлиана95631
Юлиана95631
29.12.2020
Решение:
Обозначим весь объём работы за 1(единицу),
тогда производительность одной швеи составит:
1 : 15*18=1/270
За 5 дней швеи выполнят:
1/270*(5*18)=90/270=1/3 (части работы)
Оставшийся объём работы составит:
1 - 1/3=2/3 (части работы)
Переведя 6 швей на другую работу, их численность составила:
18-6=12 (швей)
12 швей за 1 день выполнят выполнят:
1/270*12=12/270=2/45 (части работы)
Для выполнения заказа оставшимся швеям понадобится:
2/3 : 2/45=2*45/3*2=45/3=15(дней)

ответ: Оставшимся швеям для выполнения заказа понадобится 15 дней
4,8(28 оценок)
Ответ:
teenwolfgrrArina
teenwolfgrrArina
29.12.2020
3/3=t
DFJFJUR:GV
gvfxhvsfnrtntitttttttkttttttttlmop[fdokpgagagagagagagagagagagagagagagagagagmaaaaaaaaaaaaaaaamamamamamamamamamamamamamamamamamamamamamamamamamamamamamamamamamamamamamamamamamamamamamamamamamamamamamamamamamamamamamamamamamamamamamamamamamamamamamamamamamamamamamamamamamamamamamamamamamamamamamamamamamamamamamamamamamamamamamamamamamamamamamamamamamamamamamamamamamamamamamamamamamamamamamamamamamamamamamamamamamamamamamamamagggggggggggggggggggggggggggggggggggggggggggggggggggggggggggggggggggggggggggggggggggdfzffffffffffffffffffffffffffffffffffffffffffffffffffffffffffffffffffffffffffffffffffffffffffffffffffffffffffffffffffffffffffffffffffffffffffffffffffffffffffffffffffffffffffffffffffffffffffffffffffffffffffffffffffffffffffffffffff

Решите уравнение tg x/2+корень 3/3=0
4,6(53 оценок)
Новые ответы от MOGZ: Математика
logo
Вход Регистрация
Что ты хочешь узнать?
Спроси Mozg
Открыть лучший ответ