М
Молодежь
К
Компьютеры-и-электроника
Д
Дом-и-сад
С
Стиль-и-уход-за-собой
П
Праздники-и-традиции
Т
Транспорт
П
Путешествия
С
Семейная-жизнь
Ф
Философия-и-религия
Б
Без категории
М
Мир-работы
Х
Хобби-и-рукоделие
И
Искусство-и-развлечения
В
Взаимоотношения
З
Здоровье
К
Кулинария-и-гостеприимство
Ф
Финансы-и-бизнес
П
Питомцы-и-животные
О
Образование
О
Образование-и-коммуникации
vlada2207
vlada2207
20.11.2020 16:49 •  Математика

Вычислить предел lim(1-x)^2*tg(пx/2) x-> 1

👇
Ответ:
Мαлинкα
Мαлинкα
20.11.2020
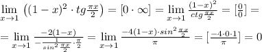
\lim\limits _{x \to 1} \, \left ( (1-x)^2\cdot tg\frac{\pi x}{2}\right )=[0\cdot \infty ]=\lim\limits _{x \to 1} \frac{(1-x)^2}{ctg\frac{\pi x}{2}} =[ \frac{0}{0} ]=\\\\=\lim\limits _{x\to 1} \frac{-2(1-x)}{-\frac{1}{sin^2\frac{\pi x}{2}}\cdot \frac{\pi}{2}} =\lim\limits _{x\to 1} \frac{-4(1-x)\cdot sin^2\frac{\pi x}{2}}{\pi } =[\frac{-4\cdot 0\cdot 1}{\pi }]=0
4,4(92 оценок)
Открыть все ответы
Ответ:
По точному замечанию протодиакона Андрея Кураева, в слове «Успение» мы слышим дополнительные смыслы: успение — это антоним смерти, это успех, завершение, которое становится началом.На иконе Успения Пресвятой Богородицы мы видим Христа, Который держит на руках младенца — душу Матери Божией. При этом тело Пресвятой Богородицы, находится на смертном одре, а рядом пребывают апостолы.Эта встреча со Христом в смертный час становится и нашим уделом. Если Матерь Божья переходит границы смерти, телесно также совоскресая, и входит в Царствие Божье (о чем поет Церковь в молитвах Успения), то мы ожидаем своего воскресения в час Суда и Всеобщего воскресения. Но душа наша точно так же, перейдя границу времени в час смертный, встречает Христа, а Христос встречает нас.Смерть более не ужас и кошмар, а приобретение, о чем пишет святой апостол Павел. Там, за дверью смерти — Христос. Нам больше нечего бояться, кроме грехов, отлучающих нас от общения с Богом.
4,6(11 оценок)
Ответ:
Клевер21
Клевер21
20.11.2020
20/2=10 км/ч скорость лыжника
s=vt; s которое проехал автомобилист= 5x, а расстояние, которое проехал
V=s/t
20/1=20 км/ч скорость машины
1) пусть x- скорость автомобилиста, тогда скорость мотоциклиста x-20;
мотоциклист= 7(x-20) так как расстояние они проехали одинаковое мы их
велосипедист= 6(х-25), так как расстояние они проехали одинаковое мы их
20/(1/4)=5 км/ч скорость лыжника
s которое проехал мотоциклист= 2,25x, а расстояние, которое проехал
v=s/t
велосипедиста= 40-25=15.

приравниваем 2,25х=6(х-25) отсюда x=40( скорость мотоциклиста).Скорость
2)пусть x- скорость мотоциклиста, тогда скорость велосипедиста x-25; s=vt; t мотоциклиста=2 целых 15/60=2,25;
Скорость мотоциклиста=70-20=50
приравниваем 5x=7(x-20) отсюда x=70( скорость автомобилиста).
4,6(24 оценок)
Новые ответы от MOGZ: Математика
logo
Вход Регистрация
Что ты хочешь узнать?
Спроси Mozg
Открыть лучший ответ