М
Молодежь
К
Компьютеры-и-электроника
Д
Дом-и-сад
С
Стиль-и-уход-за-собой
П
Праздники-и-традиции
Т
Транспорт
П
Путешествия
С
Семейная-жизнь
Ф
Философия-и-религия
Б
Без категории
М
Мир-работы
Х
Хобби-и-рукоделие
И
Искусство-и-развлечения
В
Взаимоотношения
З
Здоровье
К
Кулинария-и-гостеприимство
Ф
Финансы-и-бизнес
П
Питомцы-и-животные
О
Образование
О
Образование-и-коммуникации
dcherbaev777
dcherbaev777
18.02.2021 06:54 •  Математика

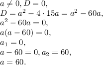
При каком значении параметра а не равно 0 парабола у=15х^2-ах+а касается оси абсцисс.

👇
Ответ:
Ричард256
Ричард256
18.02.2021
a \neq 0, D=0, \\ D=a^2-4\cdot15a=a^2-60a, \\ a^2-60a=0, \\ a(a-60)=0, \\ a_1=0, \\ a-60=0, a_2=60, \\ a=60.

4,6(31 оценок)
Открыть все ответы
Ответ:
р6661
р6661
18.02.2021
Решение:
Обозначим скорость парохода за (х) км/час, а скорость течения реки за (у), тогда согласно условия задачи:
-скорость движения парохода по течению реки равна (х+у)=18
-скорость движения парохода против течения реки равна: (х-у)=14
Решим систему уравнений:
х+у=18
х-у=14
Из первого уравнения найдём значение (х) из первого уравнения и подставим во второе уравнение:
х=18-у
(18-у)-у=14
18-у-у=14
18-2у=14
-2у=14-18
-2у=-4
у=-4 : -2
у=2 (км/час) - скорость течения реки
Подставим значение у=2 в уравнение х=18-у
х=18-2
х=16 (км/час) - скорость парохода в стоячей воде

ответ: Скорость парохода в стоячей воде 16 км/час
4,7(100 оценок)
Ответ:
TATARIN001
TATARIN001
18.02.2021
S=a*b   a=?м   b=6м   S=36м²                                                                            а*6=36                                                                                                               а=36:6                                                                                                               а=6(м) - длина каждой клумбы                                                                       S=a*b   a=6м   b=?м   S=24м²                                                                             6*b=24                                                                                                             b=24:6                                                                                                               b=4(м) - ширина второй клумбы                                                                               ответ: ширина второй клумбы 4 метра.                                              
4,5(10 оценок)
Это интересно:
Новые ответы от MOGZ: Математика
logo
Вход Регистрация
Что ты хочешь узнать?
Спроси Mozg
Открыть лучший ответ