М
Молодежь
К
Компьютеры-и-электроника
Д
Дом-и-сад
С
Стиль-и-уход-за-собой
П
Праздники-и-традиции
Т
Транспорт
П
Путешествия
С
Семейная-жизнь
Ф
Философия-и-религия
Б
Без категории
М
Мир-работы
Х
Хобби-и-рукоделие
И
Искусство-и-развлечения
В
Взаимоотношения
З
Здоровье
К
Кулинария-и-гостеприимство
Ф
Финансы-и-бизнес
П
Питомцы-и-животные
О
Образование
О
Образование-и-коммуникации
arsenkam
arsenkam
14.02.2020 03:14 •  Математика

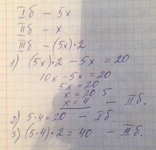
1)в 1 бригаде в 5 раз больше человек чем во второй а в 3 в 2 раза больше чем в первой сколько человек работает в каждой бригаде если в третьей на 20 больше чем в 1 2)веревку разрезали на 3 части так что первая и вторая части оказались равными а третья часть такая как первая и вторая вместе какова длина всей веревки если третья часть длиннее первой на 3 метра

👇
Ответ:
saltanatsultan
saltanatsultan
14.02.2020
Задача 1. ответ: 1 бригада 20 человек, 2 бригада 4 человека, 3 бригада 40 человек.
1)в 1 бригаде в 5 раз больше человек чем во второй а в 3 в 2 раза больше чем в первой сколько челове
4,6(17 оценок)
Ответ:
Валерия1704
Валерия1704
14.02.2020
1)  x=20 3b=2x 2b=x 1b=x/5 3б=40ч 2б=20ч 1б=4ч

2) x1=x2 y=x1+x2
               y=x1+3 отсюда из пропорции 3=x*x/x   3=x
L=x1+x2+y=x1+x2+x1+x2=3+3+3+3=12
4,4(20 оценок)
Открыть все ответы
Ответ:
алиса808
алиса808
14.02.2020

1.Грозное природное явление, возникающее при внезапном смещении двух участков плит.

2.Место наибольшего разрушения поверхности Земли.

3.Расплавленное вещество мантии.

4.Гора, в верхней части которой имеется углубление, а в толще проходит канал.

5.Районы, где особенно часты землетрясения.

6.Вулкан, склон которого пологий.

7.Канал в толще вулкана.

8.Вулкан, извергающийся более или менее регулярно.

9.Углубление в верхней части горы.

10.Действующий вулкан на дне океана.

11.Вулкан, извержение которого прекратились совсем.

12.Вулкан, имеющий форму конуса.

4,8(27 оценок)
Ответ:
asino20145
asino20145
14.02.2020

Минем әниемнең исеме ...(имя мамы). Аңа ...(сколько лет) яшь. Минем әнием ...( там-то там-то) ...(кем работает) булып эшли. Минем өчен әнием дөньядагы иң матур кеше. Аның кузләре ...(цвет глаз) төсле, кап-кара керфекләр белән сызылган. Чәчләре бик озын, ..(цвет волос) төсле. Мин әниемне бик яратам, чөнки минем өчен аннан да кадерлерәк кеше юк. Әнием бик оста ашарга пешерә. Дөньяда аның ризыгыннан иң тәмлесе юктыр. Мин начарлык эшләсәм дә ул мине шулай ук ярата. Ул һәр кешегэ булышырга тырыша. Һэр кеше өчен эни - иң кадерле кеше. Мин дә әниемне иң яхшы, иң матур, иң әйбәт кеше дип шутлыйм.

4,4(90 оценок)
Это интересно:
Новые ответы от MOGZ: Математика
logo
Вход Регистрация
Что ты хочешь узнать?
Спроси Mozg
Открыть лучший ответ