М
Молодежь
К
Компьютеры-и-электроника
Д
Дом-и-сад
С
Стиль-и-уход-за-собой
П
Праздники-и-традиции
Т
Транспорт
П
Путешествия
С
Семейная-жизнь
Ф
Философия-и-религия
Б
Без категории
М
Мир-работы
Х
Хобби-и-рукоделие
И
Искусство-и-развлечения
В
Взаимоотношения
З
Здоровье
К
Кулинария-и-гостеприимство
Ф
Финансы-и-бизнес
П
Питомцы-и-животные
О
Образование
О
Образование-и-коммуникации
3432714566
3432714566
11.12.2022 00:17 •  Математика

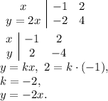
График зависимости у=2 х- прямая. постройте эту прямую по точкам. постройте прямую, симметричную относительно оси абсцисс прямой у=2х. найдите зависимость, которой удовлетворяют координаты точек этой прямой.

👇
Ответ:
vikyyyyysya142
vikyyyyysya142
11.12.2022
\begin{array}{c|cc}x&-1&2\\y=2x&-2&4\end{array} \\ \\ \begin{array}{c|cc}x&-1&2\\y&2&-4\end{array} \\ y=kx, \ 2=k\cdot(-1), \\ k=-2, \\ y=-2x.
График зависимости у=2 х- прямая. постройте эту прямую по точкам. постройте прямую, симметричную отн
4,4(42 оценок)
Открыть все ответы
Ответ:
kulaevasvetlan
kulaevasvetlan
11.12.2022
Пишем вероятности событий
p1 = 0.7   q1 = 1-0.7=0.3
p2 = 0.8    q2 = 0.2
А теперь разные события по условию задачи.
Событие А - сдаст И 1-1 И 2-й  - Р(А) =p1*p2 = 0.7*0.8 = 0.56 = 56% - ОТВЕТ 
Событие Б - не сдаст И 1-й И 2-й - Р(Б) = q1*q2 = 0.3*0.2= 0.06 = 6% - ОТВЕТ
Событие В - сдаст ТОЛЬКО один - Р(В) = p1*q2 + q1*p2 =0.7*0.2+0.8*0.3 =
=0,14+0,24 = 0,38 = 38% - ОТВЕТ
Событие Г - сдаст ХОТЯ бы один - ИЛИ 1-й ИЛИ 2-й ИЛИ оба.
Р(Г) = p1*q2+ q1*p2 + p1*p2 = 0.7*0.2+0.3*0.8+0.7*0.8 = 0.14+0.24+0.56=94% - ОТВЕТ или
Можно рассчитать как  обратное событию Б Р(Г)= 1 - Р(Б) = 1-0,06=0,94 
4,7(89 оценок)
Ответ:
keklolcheburek1243
keklolcheburek1243
11.12.2022
1. Определение: Целые числа — расширенное множество натуральных чисел , получаемое добавлением  нуля и отрицательных чисел.
   первый отрезок: -3, -2, -1, 0, 1, 2 (шесть целых чисел);
   второй отрезок: 5, 6, 7, 8, 9 (пять целых чисел);
   третий отрезок: 3 , 5, 6 (три целых числа).
ответ: 1.

2. Числа на координатной прямой симметричные относительно нуля являются противоположными.
  1) 0,7 и -0,7 - противоположные;
      6/17 и -17/6 - не противоположные;
  2) -7 5/11 и 7 5/11 - противоположные;
       1/18 и 18/1 - не противоположные (обратные);
  3) -11,2 и (56/5=11 /5=11,2) - противоположные;
      -7,5 и 7,5 - противоположные;
      0,25 и (1/4=25/100=0,25) - противоположные. 
ответ: 3.
 
4,7(33 оценок)
Это интересно:
Новые ответы от MOGZ: Математика
logo
Вход Регистрация
Что ты хочешь узнать?
Спроси Mozg
Открыть лучший ответ